期刊详情
查看往期
期刊目录
2021年14期
前沿资讯 |
中国6月CPI、PPI同比双双上涨
6月份,我国经济保持稳定恢复,消费市场供应总体充足,居民消费价格运行平稳。从同比看,6月CPI上涨1.1%,涨幅比上月回落0.2个百分点;从环比看,CPI下降0.4%,降幅比上月扩大0.2个百分点。此外,由于6月份国内大宗商品保供稳价政策效果初步显现,市场供求关系趋于改善,工业品价格涨势有所趋缓。从同比看,6月PPI上涨8.8%,涨幅比上月回落0.2个百分点;从环比看,PPI上涨0.3%,涨幅
前沿资讯 |
关键词
关键词:中国经济 6月财新中国服务业PMI录得50.3,为14个月来最低;6月财新中国制造业PMI录得51.3,低于5月0.7个百分点;6月财新中国综合PMI录得50.6,同样放缓至14个月来最低。财新智库王喆表示,6月制造业和服务业的扩张态势仍得以维系,通胀压力得以暂时缓解,但受近期局部地区疫情影响,服务业更显弱势。疫情暴发至今,制造业逐步恢复常态化,服务业对疫情形势依然较为敏感。进入下半年后
前沿资讯 |
行业公司
中药:再迎政策利好 从近日发布的《关于进一步加强综合医院中医药工作推动中西医协同发展的意见》来看,此次对于中医及中药的扶持落到了细节,抓到了根上。比如领导分管、创造条件、绩效考核等。中商产业研究院预测,2021年:我国中药材零售市场成交额约增至122.59亿元;中药制药市场规模将达到753亿元;中药饮片市场规模将达2646.7亿元,市场规模进一步扩大;中药配方颗粒行业规模将达到332.2亿元
前沿资讯 |
微博广场
曹中铭(知名独立财经撰稿人):个人以为,在定增市场出现的众多变化中,最受关注的莫过于优质公司更受青睐,没有前景的公司被抛弃,甚至无法完成再融资也将是可能的,这主要体现在融资额与融资速度上。定增市场的这一积极变化,今后也可能出现在新股IPO上。在目前“新股不败”神话频频上演的时代,新股犹如皇帝的女儿不愁嫁。但是,随着注册制的全面铺开,以及新股实行市场化发行,新股所隐藏的风险也将日益暴露。而这一切的出
封面文章 |
北上资金大调仓:大举加仓新能源 抛售抱团白马股
北上资金,指从香港市场通过陆股通的方式流入A股的资金,是影响A股市场的重要因素之一。陆股通作为陆港通的一部分分为沪股通和深股通,分别开通于2014年11月和2016年12月。自开通起,北上资金持续流入A股市场。2015年至2019年,北上资金的净买入规模不断扩张。2020年,北上资金的净买入规模有所回落,由2019年净买入3517.43亿元下降至2020年净买入2089.32亿元,同比下降40.6
宏观·策略 |
中国蓝筹股进入调整期
中国股市在经历牛年春节后大幅回落行情之后,整体逐步收复不少失地。国证A股指数节后开市最高6270点,最低跌至3月9日5448点,3月25日再探5470点,至今已经反弹回最高6107点,反弹行情功臣乃半导体板块、新能源汽车板块等。近日大市再度回落,外围因素主要担心美国收紧货币政策,国内因素则是监管政策。7月6日,中共中央办公厅、国务院办公厅印发《关于依法从严打击证券违法活动的意见》,提出总体要求、工
宏观·策略 |
猪价要见底了么?
今年春节过后,猪肉价格就从高位持续走低,活猪、仔猪价格也是跌跌不休。6月底猪肉全国平均价已从1月初的价格近乎腰斩。自今年年初推出的生猪期货,3月以来价格走势也几乎是一路下行。 猪价跌跌不休 猪肉价格跌跌不休。今年春节过后,猪肉价格就从高位持续走低,活猪、仔猪价格也是跌跌不休。据农业部数据,6月底猪肉全国平均价已从1月初的53元/公斤降至不足25元/公斤,价格近乎腰斩,同一时期活猪平均价从36元
宏观·策略 |
警惕:市场割裂 操作难度加大!
7月1日,创业板指数在创出3500点的高点之后,随之出现了剧烈的震荡和短线杀跌调整。市场画风突变,我们是战略性撤退还是留守呢?这个问题,或许需要我们用7月份一整个月去思考。7月份可能是A股市场出现重大转折拐点的一个月。 从港股那边看,科技“茅”腾讯控股技术面上跌破了年线,从年后的高点杀跌至今已经跌了28%了,这跟A股的中国平安、万科A、恒瑞医药、伊利股份、海天味业、贵州茅台等差不多一样,都是持续
宏观·策略 |
“周期股”的新逻辑:从电力危机到稀土贱卖
未来世界将是怎样的?最近咨询了某能源互联网的行业专家,谈到了几个关键的问题。 一是,电池储能真的好用吗?他谈到了电池成本的问题,一般使用半个小时是没有问题,但时间如果超过一个小时的话,成本上升会导致该项技术很难广泛应用,而氢能的传输和储备相对更加有可能大规模复制。 二是,对于中国的居住环境而言,很难像欧美国家那样大幅推广快充技术,因为多数居民居住的并非别墅,而是高层住宅,大量的充电桩在小区楼下
宏观·策略 |
京东方A:两百亿定增靴子落地
本期股市动态30指数收于1429点,较上期下跌2.23%,同期上证指数下跌2.31%,创业板指数上涨1.84%。成分股中,中科三环 、国电南瑞和中国电影等个股涨幅靠前。丽珠集团、招商银行和光明乳业涨幅靠后。 个股点评: 京东方A(000725):7月7日公司发布公告称,A股200亿元的定增方案获证监会审核通过。根据之前的公告,200亿的募资中将有65亿元用于收购武汉京东方光电24.06%的股权
趋势·市场 |
4000点上升中的震荡调整
上证指数在6月28日向上冲高到3614.36点后一路震荡下跌;其中在7月6日盘中最低下探到了3496点,下破6月18日的最低点3503.18点,从波浪理论的角度确认了调整的开始。创业板指数、深证成指及中证1000等分类指数则表现得相对较好,创业板指数新高不断,在7月1日见了3500.74点的高点,其后的回落和反弹都表现得相对较强势,中间还夹杂着几根中阳线。 市场各大指数分化得相当明显。权重类指数
趋势·市场 |
关注指数形态 重视波段细节
对于习惯做短线的投资者来说,A股市场似乎并不缺少机会。自今年3月份以来,上证指数涨跌一百点以上的波段行情已有6次,市场总是在给操作机会。 正如古人所云:飘风不终朝,骤雨不终日。股市是感性和情绪化的,有时,看似唬人的跳空下跌并不连续。7月2日,上证指数收出跌幅1.95%的阴线,但7月5日便止跌了。2020年7月16日和24日,两次幅度高达4.5%、3.86%的大跌,也仅调整一天而已,随后都出现较大
趋势·市场 |
金现代:股东连连减持 股价波动下滑
截止7月7日收盘,沪指报3553.72点,涨0.66%,成交额为4576亿元;深成指报14940.05点,涨1.86%,成交额为5929亿元;创指报3409.59点,涨3.57%,成交额为2546亿元。盘面上,盐湖提锂、稀土永磁、HIT电池等板块涨幅居前,乳业、煤炭开采加工、大豆等板块跌幅居前。 大宗交易市场上,7月1日-7月7日,5个交易日里沪深两市共发生大宗交易525笔,其中深市成交242笔
趋势·市场 |
紫光国微: 特种集成电路龙头 拓展高端芯片领域
本统计期内(7月1日至7月7日),A股在3550点左右震荡,随着上市公司进入中报披露期,业绩超预期的个股有望受到投资者青睐。 从行业资金流向看,本期仅有有色金属这一个行业呈现净流入状态,金额为107.32亿元。医药生物、电子、非银金融、计算机等行业净流出居前,金额分别为296.23亿元、207.83亿元、185.17亿元、159.78亿元。 个股方面,除去停牌股票,净流入个股数量有945只,净
趋势·市场 |
稀土板块受资客追捧
本统计期(2021年7月1日 - 2021年7月7日)两融余额为17,861.47亿元,较期初(7月1日)上升约120.56亿元,上升幅度为0.68%,较上期(6月23日)余额17,648.00亿元上升约1.21%。 从行业层面上,申万28个一级行业中共有15个呈现融资净买入状态,占比为54%,较上期净买入行业的数量下降了6个,有色金属、化工、电气设备位列净买入状态的前三名,净流入金额分别为24
趋势·市场 |
美国散户疯狂入市
标普500指数终于在美东时间本周四暂缓了前进的脚步,但不要忘记了它此前已连续9个交易日刷新历史新高,这种情况自1928年以来仅发生过4次。纳斯达克指数也正在不断刷新历史新高,7月7日盘中,再度创出历史新高14755.33点,今年以来累计涨幅已超10%,相比2020年3月的低点,涨幅更是超过一倍。道指虽然近期相对稍逊色一点,但总体仍表现不俗。 股市走牛离不开资金推动,据高盛的最新数据显示,2021
趋势·市场 |
中远海控:行业持续景气 业绩有望大涨
据东方财富Choice数据显示,截至A股7月7日收市,沪股通已用额度18.87亿元,当日额度使用率3.63%,当日剩余额度501.13亿元。深股通已用额度52.97亿元,当日额度使用率10.19%,当日剩余额度467.03亿元。从成交额来看,本周沪股通合计成交538.90亿元,深股通合计成交金额为677.07亿元。 个股方面,陆股通前十大活跃股有万华化学、亿纬锂能、立讯精密、隆基股份、赣锋锂业、
趋势·市场 |
陆股通一周成交情况
趋势·市场 |
金科服务:市场化外拓先行 数字化平台赋能
外拓能力强大 连续五年蝉联物管企业十强 金科服务是金科股份控股的物业子公司,于2000年在重庆成立。2006年,公司开始向独立第三方提供增值服务。自2015年起,公司连续5年蝉联中国物业服务企业综合实力十强。近年来,公司从社区走向城市,以智慧服务平台为支撑,打造城市空间服务、美好生活服务、智慧科技服务体系,转型智慧城市生活服务商,为中高端住宅、产业园区、商写楼宇、政企事业单位、城市高新区等多
趋势·市场 |
港股通一周成交情况
行业·公司 |
电连技术:新业务进入收获期
市场方面,进入2021年7月A股波动加剧,不少机构看法偏负面。但招商证券认为,7月份主要宽基指数仍呈现窄幅波动,市场以结构性机会为主。 主要观点:1)目前,由于海外生产恢复,对中国工业品需求形成了正面支撑,加之国内投资需求尚可,国内工业生产仍保持相对高景气度。2)半年报季开启,7月15日前后,很多业绩出现大幅变动的上市公司会披露业绩预告与业绩快报,目前业绩高增的板块和个股较多,A股盈利增
行业·公司 |
创业慧康:多业务并行发展持续受益政策利好
《动态》:创业慧康于6月19日发布了2020年权益分派实施公告,您可否为我们介绍下详细情况? 孔铭:此次权益分配,创业慧康以现有总股本1,192,144,379股为基数,向全体股东每10股派发现金股利0.30元(含税),同时以资本公积金向全体股东每10股转增 3 股。 《动态》:请问公司“慧康云2.0”战略目前推进情况如何? 孔铭:公司“慧康云 2.0”是公司整体云化转
行业·公司 |
弘亚数控:公司目前没有与华为合作
公司与华为进行了合作。 求证:不属实。 近日,有投资者咨询了弘亚数控(002833):“请问公司在智能制造方面有没有与华为合作?另外机器替人的前景广阔,公司这方面的优势在哪里?未来公司的发展方向是什么?”对此,弘亚数控表示,公司目前没有和华为合作。家具产业人均产值普遍较低,一线工人数量和比例仍然比较高,机器替人或机器人替人应用场景正在拓展,公司也有“机器人”应用项目案例。公司目前为家具企业提供
行业·公司 |
沃森生物不可忽略的三点风险
笔者对沃森生物(300142)的关注应该在两年前,源于自己身边有一个不可多得的医药研究员的推荐,因此,笔者也开始对这个公司进行了长期跟踪,期间经历了许多许多质疑,但是没有动摇本人对公司的信仰,沃森也不辜负笔者的信任,今年也有不俗表现,但随着跟踪的深入,笔者觉得沃森有几点风险不得不说,甚至有可能会成为黑天鹅。所以发表出来希望能提醒一下笔者的粉丝,希望自己是杞人忧天。 担忧一:新冠转疫苗失败
行业·公司 |
京东方A:定增方案获批开启新征程
7月7日下午,京东方发布《京东方科技集团股份有限公司关于非公开发行A股股票申请获得中国证监会核准》的公告。与笔者此前预期的一样,在定增方案获得证监会通过12个工作日后,证监会的核准便如期而至。7月15日之前的两周时间,是近期京东方的重要节点,基准定价日大概率将在7月10日之前确定,到下周将开启业绩预增的表演。 定增方案获批定价基准日近在咫尺
行业·公司 |
华东医药:医美布局进行时新产品是否有壁垒?
华东医药成立于1993年,经过近三十年的发展,目前形成了医药工业、医药商业和医美业务三大板块。在医药工业领域,华东医药拥有阿波卡糖、百令胶囊等明星产品。不过,2020年初,华东医药的核心品种阿卡波糖在国家带量采购中竞标出局;2020年12月,百令胶囊医保谈判结果落地,新医保支付标准分别为1.03元(0.5g)及0.51元(0.2g),分别比此前全国最低中标价降低33%及33.8%,这给公司的传
行业·公司 |
澳华内镜:经销商资质存疑管理费居高不下
上海澳华内镜股份有限公司(以下简称“澳华内镜”)是一家主要从事电子内窥镜设备及内窥镜诊疗手术耗材研发、生产和销售的高新技术企业,产品应用于消化科、呼吸科、耳鼻喉科、妇科、急诊科等临床科室。2020年12月,澳华内镜首次递交招股说明书,申请登陆科创板,并拟募资6.40亿元,投入到医用内窥镜生产基地建设项目、研发中心建设项目、营销网络建设项目以及补充流动资金。 《股市动态分析》在仔细研读其招
行业·公司 |
凯旺科技:议价能力或不足研发效率存疑问
7月2日晚间,创业板上市委公告称,河南凯旺电子科技股份有限公司(以下简称“凯旺科技”)首发申请获通过,凯旺科技本次IPO拟发行不超过2396万股,募集2.99亿元资金,投向“精密连接器及连接组件产能扩展”、“研发中心建设”及“补充流动资金”等三大项目。 《股市动态分析》记者发现,尽管对于凯旺科技的注册申请予以通过,但其自身仍存在实控人控制不当风险、客户高度集中及因此衍生出来的应收账款较高
行业·公司 |
立讯精密:“代工厂”窘境不改市场中长期认可
立讯精密因消费电子龙头、“果链一哥”而闻名于市场,主要从事笔电、通讯、可穿戴、汽车连接器生产及模组组装。虽然作为龙头企业,但立讯精密因为其“代工厂”身份一直饱受争议。不过机构还是普遍看好其中长期发展态势,在智能可穿戴、汽车电子、5G通讯方面都具备成长动力。 龙头困于“代工厂” 作为我国最大的连接器制造商,立讯精密的地位与规模遥遥领先,是苹果核心供应商之一,业绩
行业·公司 |
两轮电动车:国内存量替换 国外蓝海待发掘
两轮车泛指自行车、摩托车等代步工具,现实中司空见惯,国内两轮电动车,大家可能见得多的是电动单车,还有这两年兴起的平衡车等代步工具,本质上也是两轮车的范畴。既然传统燃油车会被电动车替代,那么两轮车理论上也应该有被电动化的趋势。 行业增速维持稳定 我国机动两轮的出行方式从90年代开始发展,随着城镇化率发展,销量高速增长持续至2010年,此后需求趋于稳定。而两轮电动车是2003年之后,在“禁
行业·公司 |
Mini LED:今年开始爆发
Mini LED又称为“次毫米发光二极管”,Mini LED芯片尺寸介于50-200微米(也有厂商定义为100-300微米,如京东方)之间的LED器件,尺寸介于小间距LED与Micro LED之间,是小间距LED进一步精细化的结果,随着技术路径逐渐清晰,将成为LED显示应用新蓝海。 2021年,以三星、苹果为首的主流品牌厂均陆续推出搭载Mini LED背光功能的电视机或平板产品,确立了M
行业·公司 |
股神榜:长电科技、万华化学、华宇软件
行业·公司 |
机构荐股
长电科技600584 4月底,公司公告非公开发行股票已顺利完成,募资总额为50亿元,发行均价28.3元,参与对象主要为国内知名基金及产业资本。随着公司募投项目稳步推进,预计高密度模块封装及通信用封装项目达产后可分别增加营收18.38亿及16.35亿,年均利润3.98亿元及2.18亿元。 6月初,公司宣布已完成对ADI(AnalogDevices,Inc.)的新加坡测试厂的收购,ADI是
行业·公司 |
风险警示:美迪西、明微电子、美尔雅
美迪西688202 近期公司发布股东减持股份计划公告称,因股东自身资金需求,公司股东美斓企业、美劭企业和美熹企业拟通过集中竞价或大宗交易的方式减持合计不超过所持公司股票578,452股,即不超过公司总股本的0.93%。竞价交易减持期间为2021年7月19日至2022年1月18日,大宗交易减持区间为2021年7月1日至2021年12月31日。公司董事、董事会秘书王国林不参与本次减持;公司监事曾
机构·理财 |
重回成长主线华夏“成长消费一姐”推出新基
今年上半年的中国股市,上游周期涨幅较大,总体来看价值跑赢成长。近期中金公司在其下半年策略报告中预测,随着中国进入“疫后新常态”,产业升级、消费升级所代表的“新经济”趋势可能会重回主线,行业配置与主题上,建议成长为主,兼顾周期。 具体来看,从申万一级行业分类来看,今年以来涨幅前三分别是电气设备、钢铁、化工,跌幅前三则为家用电器、非银金融、国防军工,消费、科技等成长板块已经过较充分调整。(数
机构·理财 |
华夏投顾正式上线陆基金
华夏投顾三大组合正式上线陆基金 近日,首批获得基金投顾业务试点资格的华夏基金子公司华夏财富入驻陆基金,此次共上线三大投顾组合策略。双方希望通过合作发挥各自优势,帮助更多投资者真正实现“帮你选、为你投、替你调”。此前,华夏财富已与蚂蚁财富、天天基金、腾讯理财通、360数科、中信银行、中信证券和同花顺等机构展开基金投顾业务合作。 此次上线陆基金的三个投顾组合策略分别是华夏工资宝绝对收益组合
机构·理财 |
富安达基金完成股东变更
7月8日,富安达基金发布公告称,经证监会核准,其原股东江苏交通控股有限公司将持有的富安达基金26%股权转让给江苏云杉资本管理有限公司(以下简称“云杉资本”)。此次股东变更完成后,富安达基金的三大股东为南京证券、云杉资本、南京河西新城区国有资产经营控股(集团)有限责任公司,持股比例分别为49%、26%、25%。 首只碳中和主题基金获批 盘点当下投资热点,“碳中和”是绝对的风口。截至7月7
机构·理财 |
强监管兵临城下 互联网宠儿变弃儿
互联网行业是过去十几年回报最高的行业,仅仅是中国,行业内就涌现出进入全球市值前十名的腾讯和阿里巴巴,市值动辄几千亿美金。作为赢家通吃的行业,互联网龙头深得资本青睐,是资本市场的宠儿,如今行业迎来强监管,监管层顺应民意拿起反垄断的大刀,拉起国家安全的大旗,铁腕治理互联网行业,在强监管的背景下,互联网龙头股已然成为资本的弃儿。 教育行业的治理可以作为互联网监管的前车之鉴,曾经教育股也是牛气冲
机构·理财 |
“去强留弱”的错误操作
股票强弱多指一只股票在不同时期股价的强弱表现,或该股与指数在同一时段比较的强弱。同时持有两只或多只股票,很多投资者在强势品种中赚得不多的时候就匆忙离开,在偏弱甚至亏损的个股中却持续观望。 “去强留弱”的结果往往是卖出强势股后,强势股继续上涨;该早走的弱势股留到后面,亏损却继续扩大。如果这种操作是常态,那就该对以后的交易进行规划了。 同时持有两个股票时,一个强势赚钱,一个弱势亏损,当两者
数据精选 |
一周沪深市场概览
数据精选 |
北上资金持仓、持股变动
数据精选 |
南下资金持仓、持股变动
数据精选 |
一周龙虎榜交易居前营业部买入个股
数据精选 |
重要股东、高管二级市场增、减持明细
数据精选 |
一周成交量大幅增加前50只个股
数据精选 |
一周超大单资金净增(减)仓股前20名
数据精选 |
一周资金净流入(出)额前20名
数据精选 |
本周创出今年以来新高的股票
数据精选 |
一周热点板块表现个股
数据精选 |
十大涨跌幅、换手、振幅、资金流向
数据精选 |
全球主要指数走势点评
数据精选 |
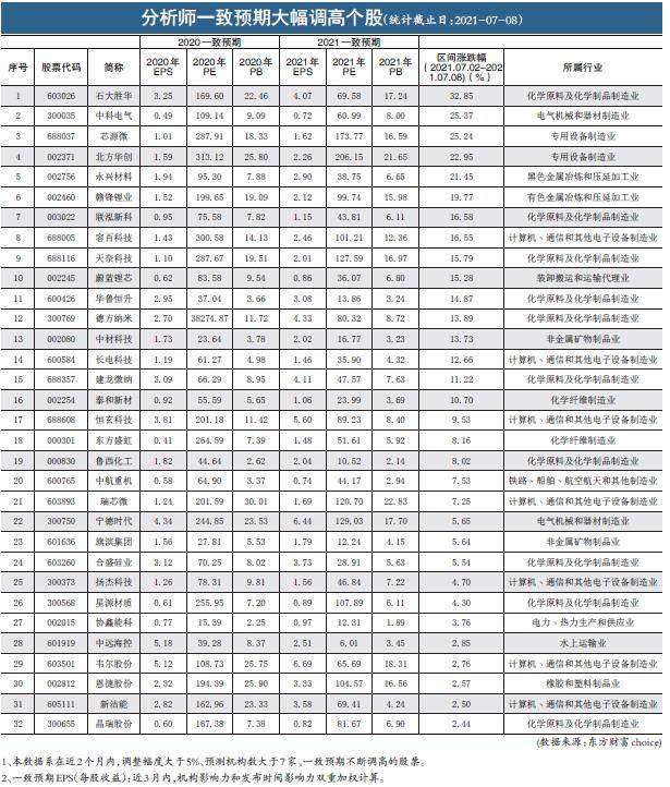
分析师一致预期
数据精选 |
股市日历