期刊详情
查看往期
期刊目录
2021年30期
科技创新 |
《给排水工程管理系统》的设计与实现
摘要:随着网络化、大数据时代的到来,对现代企业管理模式、办公模式都提出了更高的要求,如何做到高速、高效、集约、规范成为企业发展的重大课题,而一款科学设计、结构合理的软件将是企业管理的强大支撑。给排水工程管理系统就是根据给排水企业管理现状,结合工程管理的相关标准、规范而设计的基于网络化、大数据集成化的信息系统。 关键词:工程管理;全过程;全方位 给排水工程管理系统实现了工程整个生命周期全过程、全
科技创新 |
基于高效液相色谱技术的本科创新实验设计与实践
摘 要:依托教师科研项目,以典型环境内分泌干扰物双酚A(Bisphenol A,BPA)为实验对象,基于高效液相色谱技术设计并开展创新实验,引导学生自主思考及实验探索,从分散液液微萃取前处理及高效液相色谱仪器分析两大方面,摸索并优化各项参数条件,建立高效、便捷的检测方法用于定量分析水样中BPA。创新实验设计结合了新颖的科研内容,激发学生主动探索的兴趣,不仅强化了学生的基本实验技能,而且培养和提升了
科技创新 |
人工智能技术在信息技术教学中的使用
摘 要:智能时代对信息技术课程教学和人才培养提出了全新的要求与挑战。同时,国家和教育部在2018年也发布了《教育信息化2.0行动计划》。信息技术课程智能化的提出既顺应了时代发展,也响应了国家和教育部的号召。信息技术课程智能化建设是信息技术课程教学与人工智能新技术融合发展、相互赋能的系统工程。智能时代下的信息技术课程体系建设需要把握好教师、学生在教学活动中扮演的角色以及信息技术课程体系建设的问题。
科技创新 |
新能源汽车充电站选址分析
摘 要:近年来随着新能源汽车的兴起与发展,新能源汽车占据的市场份额逐年提高,未来将指导汽车、能源产业转型升级,成为必然发展趋势。本文对贵州省六盘水市钟山区进行新能源汽车充电站选址问题进行分析研究,最终选定最优方案。首先,综合考量区域内的发展潜力,建立评价指标体系,运用模糊综合评价法计算综合得分,在划定的三个区域内选出最优候选区域。其次,研究初期,作者进行了大量的文献查阅和资料收集,并实地考察了六盘
科技创新 |
定位机器人充电装置的结构优化设计与研究
摘要:目前市面上的定位机器人充电结构多是利用充电桩配合机器人底部设置的充电触点依靠导航系统的指引准确移动到充电触点上方进行电性连通充电,但是这种方式连接可靠性较弱,在返程与充电桩对接时,定位校准速度慢,而且容易冲撞到充电桩造成损害。本文对定位机器人充电装置进行结构优化,保证定位机器人与充电桩充电时底部压合触点的连接可靠度,对机器人返程时的定位进行辅助校准,保证充电对接时的精确度。 关键词:定位机
科教论坛 |
线上教育背景下化学教育专业学生职业技能的培养
摘 要:线上教育是获取知识的重要途径,是传统教育形式的有效补充。本文分析了线上教育过程中,中学化学教师应具备的教学技能和独特的技能特征,并调查研究了我国三所国家教育部直属师范大学和三所省教育厅所属的师范大学的课程学分占比情况,比较了目前各高校对化学师范生的培养侧重点,以期为化学师范专业人才培养提供依据。 关键词:线上教育; 教学技能;课程设置;课程学分 Online Skills Culti
科教论坛 |
使用质量管理工具改进教学过程
摘要:质量管理工具是在质量管理过程中,用于收集和分析质量数据,确定质量问题,改进和控制质量水平的常用方法,适用于各种过程的质量改进,在教学过程中也同样适用。本文通过使用调查表法收集教学需要改进的问题,使用排列图法找出教学过程中亟需改进的问题,并针对重点问题进行质量改进,最终使用控制图进行实时教学过程控制。通过对教学过程的质量改进,有效提高了《质量管理与控制》课程的教学效果,并延伸至其它专业选修课教
科教论坛 |
OBE+“金课”理念下的课程实施建设研究
摘 要:OBE以产出为导向的教学理念,促使高校教育与行业用人需求有效对接,为教育教学找到了落脚点。“金课”理念强调的“两性一度”,为教学目标的有效落地指明了方向。本文以OBE+“金课”理念为指导,构建课程建设逻辑模型,提出课程目标、课程内容、教学方法及课程评价是相互影响的有机整体,四者构成一个完整的课程设计闭环。 关键词:OBE;金课;课程实施 中图分类号:G642.0
科教论坛 |
将科研成果拓展为物理实验教学内容的研究与实践
摘要:为了促进教学和科研相辅相成,共同发展,推动物理实验教学发展,需要将科研成果拓展为物理实验教学内容。本教学改革项目从两方面入手,一是在课堂教学中引入最新科学发展前沿内容,二是将高压电晕电场与生物质相互作用引入物理实验课程等。经过3个学期的教学实践发现,将科研成果拓展为实验教学内容,可以更好地吸引学生课堂注意力,激发学习兴趣,增加课堂知识更新率,培养学生在物理实验中寻找科研题目的能力,从而唤醒学
科教论坛 |
基于OBE理念的混合式教学深度融合模式实践研究
摘要:互联网的发展和人才需求供给矛盾促使教育形态和模式的改革与创新,研究OBE理念引导下教学过程的闭环反向设计,构建网络教学平台与传统课堂深度融合的混合式教学模式,依托具体课程的实施检验效果并反向指导方案的修正和完善,针对学习统计数据进行了详细地分析,对“互联网+教育”背景下混合式教学深度融合实施提供一定实践经验。 关键词:混合式教学;深度融合;OBE;学生为中心 Research on Im
科教论坛 |
与专业相结合的大学数学教学探讨及实践
摘要:大学数学基础课教学是高等学校教育中的重要一环,其教学效果是专业学习的重要基础。论文分析了目前数学基础课程教学中存在的一些典型问题,以及目前针对这些问题任课教师在教学方式、教学手段等方面提出的解决方法。同时探讨了如何在独立学院的高等数学课程教学中结合授课对象所在专业来设计教学实例。通过与专业知识相结合的案例激发学生的学习兴趣和主动性,提升教学效果并增强学生应用数学知识解决专业问题的能力。 关
科教论坛 |
卓越计划2.0下的桥梁工程课程改革研究
摘要:桥梁工程是道路与桥梁专业的一门主要课程,也是最基础的课程,对于同学们了解本专业发挥着阶段性作用。然而传统桥梁工程课程教育方式较为无趣,课堂乏味,使学生难以对该课程产生兴趣,进而影响学生的专业认知,不利于推进卓越工程师教育培养计划。加上在卓越1.0计划实施的过程中出现了许多问题,因此本文在基于“卓越计划1.0”的基础上进行一些改进尝试,以新工科建设为抓手,从课堂教学、教学环境、实践效果等多角度
科教论坛 |
基于在线引进课程的线上线下混合教学模式探索与研究
摘要:鼓励高校教师在教学过程中引进和使用优质在线课程资源,开展线上线下相结合的混合式教学,是“互联网+”时代信息化教育的一种有益尝试和探索,也是促进教育教学质量提高的一条有效途径。本文以甘肃民族师范学院公共课《信息化教学及其环境应用》(原《现代教育技术》)为例,通过引进和使用在线开放课程资源,形成线上线下相结合的混合式教学模式,不仅拓展了教学时空,丰富了课程内容,也改变了传统的教与学的方式。 关
科教论坛 |
混合式教学在《C语言程序设计》课程中实施的初步探究
摘要:C语言是计算机专业最主要的课程之一,学好C语言不仅能够培养学生的计算机思维,而且对后续课程的学习也有重要的意义。目前C语言的教学模式主要还是以线下教学为主,关于混合式教学模式的研究仍然较少,本文将阐述混合式教学模式的构建方法,并对实际的教学效果进行分析,结果表明:线上线下混合式的教学模式将有效提高《C语言程序设计》课程的教学效果。 关键词:C语言程序设计;混合式教学;线上线下 《C语言程
科教论坛 |
面向工程教育的机械制图和公差课程融合式教改研究
摘要:以中德机械专业学生为试验班,对机械制图与公差这两门课程进行相应改革,适应互联网时代、进行面向工程教育的教学改革,贯彻新的教育理念,加强学生的工程实践和创新能力的培养,重新组织、编排教学内容和教学环节,更新教学手段,以提高学生对两门专业基础课程知识的综合运用能力。 关键词:机械制图;公差;教学改革;工程教育 中图分类号:G642 文献标识码:A 机械制图课程与公差课程均为机械、车
科教论坛 |
基于地理实践力培养的课堂活动案例设计
摘要:《普通高中地理课程标准(2017年版)》明确了地理实践力是在地理实践活动中表现出的意志品质和行动能力,开展地理实践活动对于培养学生的地理实践力具有重要作用。本文从地理实践力内涵入手,基于实践活动与地理实践力的关系,依据新版湘教版教材活动系统,设计课堂活动,力求提升实践活动可行性,促进学生地理实践力提升。 关键词:地理实践力;课堂活动;实践活动 一、地理实践力解读 2018年1月教育部正
科教论坛 |
高职院校音乐专业钢琴教学创新分析
摘要:职业教育旨在以就业为导向为社会培养高等技术型人才。随着社会人才结构的不断优化调整,未来我们需要更多的艺术领域专才,而高职院校则肩负着培养艺术技能人才的重任。钢琴课程是高职音乐专业必修的一门重要基础学科,学好钢琴基础、练好钢琴技法,能够帮助音乐专业学生提高音乐综合应用水平,提高专业竞争和就业能力。 关键词:高职院校;音乐专业;钢琴教学;创新策略 钢琴教学作为高职院校音乐专业中的主要课程之一
科教论坛 |
基于虚拟仿真技术的旅游管理专业实践课程体系与教学模式研究
摘要:虚拟仿真实验教学有助于优化高等教育人才培养模式,对于培养经济新常态下应用创新型人才至关重要。本文探讨虚拟仿真技术应用于旅游管理实践教学的必要性,详细阐述了旅游管理实践教学改革的思路,基于虚拟技术构建旅游管理专业实践课程体系,创新实践教学模式,并且对实践教学的保障体系及效果评估体系开展说明。 关键词:虚拟仿真、旅游管理、实践教学,课程体系,教学模式 一、虚拟仿真技术应用于旅游管理实践教学的
科教论坛 |
《材料腐蚀与防护》课程混合式教学改革研究
摘要:对材料腐蚀与防护课程进行混合式教学改革,可以很好的培养学生自主学习的习惯;采取混合式教学模式,加强学生在教学中的主体地位;对教学方式、考核方式进行转换,激发学生的学习兴趣,提高教学质量。 关键词:材料腐蚀与防护;混合式;教改 Abstract: The mixed teaching reform of the material corrosion and protection cours
科教论坛 |
应用型本科院校体育教学改革与人才培养模式的构建思考
摘 要:时代的发展和社会的进步,对高校校园的人才培养提出了更高的要求。高校深化教育改革,培养社会需要的创新人才,已然成为高校的一项重要目标。体育教育的改革与创新是应用型高校必须贯彻落实的一项重要任务,其直接影响到应用型本科教育的未来趋势,需要社会各界的高度重视。因此,应用型高校实施体育课改具有十分深远的意义。其通过探索全面提高学生体育教育文化素质的改革路径,可以为我国高等教育改革提供参考。 关键
科教论坛 |
“中国近现代史纲要”课线上线下混合式教学探究
摘 要 实行线上线下混合式教学是提升“中国近现代史纲要”课程教学实效的内在要求。“纲要”课线上线下混合式教学既要明确线上课堂“教什么”和“怎么教”,又要探索线下教学如何科学设计教学活动,如何与线上平台有机结合,实现线上线下混合式课堂。混合式教学提升“纲要”课程教学效果非常明显,但也存在教师对混合式教学方式的认知不够、教学设计能力不足等问题,在“纲要”教学中发展好混合式教学,还需要进一步完善。
科教论坛 |
工程教育背景下土木类专业学科竞赛体系的构建与实施
摘 要:在工程教育背景下不仅侧重理论知识的学习,更应注重问题分析、方案设计与创新研究的实践应用能力,进而达到对工程知识掌握更深刻的实际效果。在分析人才培养中学科竞赛重要性与当前高校土木类专业学科竞赛体系存在问题的基础上,基于工程教育专业认证核心理念,从竞赛内容融合课程教学体系、开放实验教学平台、设立创新创业工作室和健全学科竞赛激励机制等方面对土木类专业教学改革进行研究。实践结果表明,学风建设和竞
电子信息 |
基于手机信令数据的目标群体识别研究
摘要:进店维修的客户流量是卡车维修店铺运营的关键,对客户身份的识别是统计客流量的前提。本文以某商用车维修服务站为研究对象,参考基于手机信令数据的职住空间识别思路,设计层次化数据清洗流程,最终从多类型人群中筛选出了进店维修目标群体(卡车司机)的手机信令数据,为下一步统计分析维修店铺客流量提供依据。 关键词:维修服务站;手机信令数据;数据清洗;卡车司机 2019年度中国汽车售后服务满意度调查报告结
电子信息 |
以就业为导向的中职计算机网络技术专业教学模式改革研究
摘要:职业教育是我国技术型、应用型人才培养不可或缺的教育过程,职业教育的结果应当以为相关专业领域输送高质量的专业型人才为导向,也就是说职业教育应当要注重于就业市场人才需求的相互匹配,要能够促进学生适应就业、以及在就业过程中发挥出高水平的专业实践能力,而中等职业教育更是职业教育发展的重中之重,对于促进中等职业学生就业质量的人才培养模式探究应当得到注重,本文以中职计算机网络技术专业教学为例,以就业为导
电子信息 |
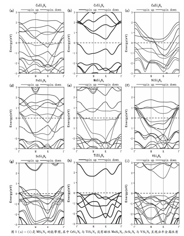
单层MSi2N4的电子结构与磁性研究
摘要:二维材料的发现开启了研究二维材料磁性的大门,为实现新功能器件拓宽了思路。基于第一性原理计算方法,本文研究了MSi2N4(M=Sc,Ti,V,Cr,Mn,Fe,Co,Ni和Cu)体系材料的电子结构和磁特性。结果表明,MSi2N4具有丰富的磁特性,CrSi2N4材料是非磁的半导体材料,而MSi2N4 (M= V,Mn,Fe,Co,Ni,Cu)为普通的磁性金属。MSi2N4(M=Sc,Mn,V)表
电子信息 |
“5GStar”超仿真训练系统、ICT平台,助力5G复合型人才培养
摘要:通信技术课程需要仿真软件的配合,“5GStar”超仿真5G复合型人才培养软件就能很好的解决该问题。该软件体系基于5G基站同源开辟,应用软件支撑云上尝试,荒野行动透视辅助,将仿真5G实训,为进修者建立矫捷超仿真5G场景,提供复合型型人才培育平台。这次推出的“5GStar”超仿真5G基站系统,搭载5G基站技术,高度还原实地建网业务流程,有效降低人才培养投入成本和提高培训效率,实现“所学即所用”。
电子信息 |
大数据时代人工智能在计算机网络技术中的应用探讨
摘要:自第三次工业革命以来,计算机网络信息技术不断向前发展,不断取得新的进步,大数据时代已经到来。与此同时,人工智能技术诞生后也在不断取得新的成绩。从广义而言,人工智能技术从属于计算机信息技术。将该技术与计算机信息技术相结合能够极大便利人们的日常生活,提高人们的工作效率。目前,现实生活中已经存在人工智能技术的应用。该技术的不断进步将能够促进我国计算机网络信息技术水平的不断提高,也能为进一步提高我国
电子信息 |
基于“优慕课+钉钉”平台组织学与胚胎学在线直播教学的应用研究
摘要:2020年,我教研室对组织学与胚胎学线上教学直播进行了探索与实践。本文对此次线上教学的具体实施情况进行了总结和讨论,以期为今后开展线上、线下混合式教学改革提供可靠参考。 关键词: 组织学与胚胎学; 直播教学; 钉钉 2020年直播课堂成为信息传播的承载工具,成为高校教师线上教学的重要手段[1]。我校为确保教学工作平稳有序进行,要求全校师生及时转变教学方式方法,将线下面对面课堂全方位转换为
电子信息 |
基于校企协同育人模式的数据科学与大数据技术专业人才培养研究
摘 要:随着大数据与智能技术的快速发展,各高校开设了数据科学与大数据技术专业,该专业的人才培养模式成了教育研究热点。本文分析了河北工程技术院校基于校企协同育人模式下的数据科学与大数据专业目前存在的教学现状,并给出了数据科学与大数据专业的专业人才培养目标、专业课程以及实践教学课程的设置情况。 关键词:数据科学与大数据技术;校企协同育人;人才培养方案;实践教学 1 概述 数据科学与大数据技术专业
电子信息 |
关于电路类教材中网孔分析和节点分析教学方法的再探讨
摘要:本文对于网孔分析法和节点分析法在列写电路方程时,两种不同的处理方式进行了探讨。其中,针对直接用自电阻、互电阻、自电导、互电导等列写电路方程时,遇到的正负号的问题,进行了分析,进而可以帮助学生更好的掌握该分析方法的实质内涵。指出另一种处理方式,即在列写网孔方程和节点方程时直接采用基尔霍夫定律的不足之处,是没有对电路分析理论进一步提升,没有展现公式的简洁和优美,每次解决问题时,都从最基础的KCL
电子信息 |
计算机硬件课程实验教学研究
摘要:“缺芯”是我国现阶段的“卡脖子”问题,培养动手能力强的计算机硬件人才是解决此问题的一个必要条件。学生在硬件实验课中,难于结合工程项目和实际应用,学习主动性不够高。通过多样化的课前预习、知识化的思政案例、有针对性的课堂指导和完善的指导制度,能有效的提高学生的学习兴趣,使实验课和理论课相互促进,使硬件课程难学的问题得到解决。 关键词:计算机硬件;实验教学;产学融合 中图分类号:TP303;G
电子信息 |
大数据技术的学前教育信息化
摘要:学前教育目前深受人们的关注,近年来在信息技术快速发展的形势下,大数据技术应运而生,并且已经逐渐融入到社会生活的各个方面。目前幼儿园在学校管理方面还存在很多不足,集中体现在教学效率低下,不能适应当前信息技术发展的形式。所以结合当前信息技术不断发展的优势,幼儿园要不断加大大数据技术的应用,以此来促进学前教育信息化教育目标的实现。本文结合对目前学前教育现状的分析结合大数据技术的应用,提出建议和意见
工程技术 |
浅析装配式建筑工程钢结构施工技术和施工管理措施
摘要:建筑行业在长时间的发展条件下逐步迎来了崭新的发展,传统的建筑行业发展模式逐步被转变,人们对建筑工程项目中的节能环保关注度日渐提升,出于经济性、环保性等因素的考虑,市场上的装配式建筑工程日渐增多。与一般的工程不同,装配式建筑的施工周期短、成本低,兼具环保、经济等多重优势。而钢结构作为装配式建筑中的重点施工环节,其施工效果与整体的建筑结构性能和质量息息相关。基于此,本文重点针对装配式建筑工程钢结
工程技术 |
流水施工技术在建筑工程施工管理中的应用
摘要:随着我国经济的迅速发展,建筑业也进入了一个突飞猛进的阶段,施工组织管理工作势在必行,如何合理组织和管理施工现场的施工过程成为施工管理人员必须面对的一个问题。目前组织施工一般有依次施工、平行施工和流水施工三种施工组织方式。本文实证研究比较三种施工组织方式在组织施工时的优缺点,提出流水施工在利用工作面、实现专业化施工和连续均衡施工等方面的优越性,为工程施工组织管理人员提供参考。 关键词:
环境科学 |
文化载体视角下城市风景园林与乡村文化礼堂的对比研究
摘要:城市风景园林与乡村文化礼堂分别是中国城市、农村具有地方特色的文化景观,内涵丰富,具有挖掘潜力,但在文化表现形式上差异明显。本文在前人研究基础上,结合实地调研和体验,采用对比研究法梳理分析发现,城市风景园林与乡村文化礼堂具有“异曲同工”之妙。研究认为,文化特色差异是“异曲”,文化载体功能是“同工”。由于二者文化属性突出,德育功能显著,艺术魅力十足,现今仍然具有广阔的开发与研究前景。 关键词:
环境科学 |
城市工业遗产改造中景观文化的表达
摘要:工业遗产乃是存在于每一个城市中的的一种标识,它是带动城市积极发展的重要的推动力,也是任何一个时代创新和发展的起点。本文通过对工业遗产景观改造的历史沿革的梳理和解读,对指导思想的阐述,进而将景观改造设计中产生的各种价值取向进行分析和理解,将文化景观如何在工业遗产改造中进行表达,并阐述历史文脉对于景观表达的重要性,旨在为城市工业遗产改造项目提供部分思路与参考。 关键词:工业遗产;改造设计
环境科学 |
小麦麦芒发白发干的原因及防治措施
1绪论 2021年5月份以来,河北省沧州地区有农民朋友反映小麦田里出现麦芒发白发干的情况,并咨询发生的原因及防治措施。小麦麦芒发白发干的情况出现后,我们需要多下田观察,查看小麦的扬花情况,如果小麦能够正常扬花,那基本问题就不大。经过多少万年的进化,麦芒也许并非是小麦可有可无的一个物件。 2小麦麦芒的作用 小麦麦芒作为小麦穗器官的组成部分,是小麦长期进化、适应环境的结果,在小麦的光合作用、抗虫
理论研究 |
应用型大学如何培养学生的科学素养
摘要:科学素养是一项大学生应具备的基本素养。大学生科学素养的培养是大学教育的重要任务之一,大学生需要构建较为完整的专业知识体系,逐步掌握分析和解决问题的科学方法,并具备良好的科学品质和精神。应用型大学主要培养应用型人才,开设实验、实训课程,可以有效提升学生科学研究问题的能力,培养和锻炼学生的科学品质;同时通过教师引导,学生能构建完整的知识体系,由此全面提升学生的科学素养。 关键词:大学生;应用型
理论研究 |
应用生活化资源创设物理情境的实践与思考
摘要:在物理教学中,物理概念的建立、规律的探究、问题的解决都离不开情境。本研究在分析物理情境创设重要性的基础上以生活用具资源、生活现象资源、生活废弃资源、生活习惯资源和自然常态五种资源为“抓手”,分别例举了中学物理教学中情境创设的实践案例并认为应用生活化资源创设物理情境有利于构建良好师生关系、编制创新命题、促进学生深度学习等。 关键词:生活化资源;情境;中学物理 物理教学离不开情境。近年,情境
理论研究 |
基因与特发性低促性腺激素性腺功能减退症的研究进展
摘要:特发性低促性腺激素性性腺功能减退症(IHH)是临床上逐渐被认识的遗传异质性疾病,随着测序技术的不断发展和临床应用,许多基因被发现导致IHH。由于IHH涉及复杂的基因突变和临床表型,本文旨在探讨IHH和青春期障碍的分子基础,建立IHH的分子诊断方法,避免鉴别青春期体质性延迟和性腺功能减退的不确定性和延迟性。 关键词:特发性性腺功能减退症;基因型-表型;促性腺激素释放激素;基因突变 特发性低
理论研究 |
关于量子力学——经典力学——相对论力学的统一性理论可行性研究续20——新量子力学概要之补充(7)
摘要:本文论述了新量子力学与主流核物理在一些基本问题上的一一对应关系,论述了核的结合能的表述及几种核衰变.论述了新量子力学关于用夸克势描述核力,给出了夸克的质量公式与多重态,给出了强相互作用动力学的总体概述.论述了新量子力学与量子电动力学的一致性.论述了新量子力学与规范场的一致性,论述了有关霍尔效应,、量子霍尔效应、反常量子霍尔效应问题,论述了波的起源以及自引力、万有引力(量子引力)、电磁力的关系
理论研究 |
脑缺血后处理的脑机制及治疗进展
摘要:脑缺血后许多分子调节途径在脑组织损伤中起着调节作用,以使缺血半影中的细胞存活,线粒体的凋亡和坏死途径是脑缺血中脑组织损伤的主要原因,脑组织中的氧化应激会立即刺激线粒体ROS的产生和胞质NADPH的产生,从而破坏脂质、蛋白质和DNA等细胞大分子。低氧诱导因子(HIF)是氧调节的转录因子,在低氧感测和适应中起重要作用,ROS还激活其他细胞内信号传导途径,包括MAPK、NF-kB和MMP的上游。缺
理论研究 |
人力资源管理视角下的高校图书馆勤工助学学生管理策略探析
摘要:随着高校勤工助学工作的广泛开展,勤工助学学生已然作为图书馆宝贵的人力资源,高校图书馆要以人力资源管理理论为指导,明确选聘标准,构建培训开发体系,优化管理制度,完善评价激励机制,以此提升管理效能,实现人才培养,推进图书馆勤工助学工作的有序开展。 关键词:高校图书馆;人力资源管理;勤工助学 中图分类号:G258.6;G251 “勤工助学”是为了减轻贫困学生的经济压力,高校提供一些岗位供其在
理论研究 |
高职院校汽车专业“双师型”教师队伍建设研究与实践
摘要:目前,高职教育是整个教育内涵建设是重点,也是出于非常关键的一个阶段。2019年国务院对外公布了《国家职业教育改革实施方案》,教育部和财政部联合发布了《关于实施中国特色高水平高职学校和专业建设计划的意见》,职业教育发展主要是因为国家的要求与决策部署,更大的促进高职院校“双师型”教师队伍建设步伐。对此,本研究重点调查分析了高职院校汽车专业“双师型”教师队伍现状,并提出了针对性建设策略,以此来促进
理论研究 |
康复治疗学本科生学业评价体系的构建
摘要:学业评价体系是康复治疗学人才培养过程中至关重要的环节,其科学性和全面性与否直接决定了康复治疗学本科生人才培养目标的是否达成。本文阐述了康复治疗学人才培养过程中通识教育、校内专科课程、校内集中实践环节、见习与实习环节、毕业论文等的具体考核要求和考核办法,为康复治疗学本科生学业评价体系的构建提供参考。 关键词:康复治疗学;本科生;学业评价体系 学业评价体系是人才培养方案中至关重要的组成部分,
理论研究 |
基于TOPSIS和灰色关联的飞机型号研制项目管理绩效评价
摘要:飞机型号研制项目是一个大型复杂项目,对其管理的评价要客观公正,传统评价方法的种类有许多,主观的、客观的,但是飞机型号研制项目的特殊性导致直接使用普通单一的评价方法无法满足综合评价的需要。因此,本文在权衡不同评价方法的优缺点之后,选出灰色关联分析法和TOPSIS法,并将两种评价方法进行融合,优缺点互补,构建出来适用于飞机型号研制项目管理特点的绩效评价模型,以5个项目为例开展评价工作,评判优劣并
理论研究 |
热电企业安全管理的问题及优化途径
摘要:近几年,热电企业逐渐加大安全管理的重视力度,虽然有制定相应的管理机制控制安全事故发生,但综合整体情况分析,仍存在一些问题,鉴于此,本文对热电企业安全管理问题进行分析探讨,结合现有规范要求及自身条件,给出合理的解决措施,以期有效控制安全事故的发生。 关键词:热电企业;安全管理;优化途径 随着经济发展速度的加快,人们生活水平的提高,对热电需求量不断增加,热电企业的工作压力加大。为更好的适应现
理论研究 |
HIIT运动干涉对连结员岗前适应性的影响探究
摘要:本论文在对高职院校铁道交通运营管理专业学生职业体能现状调查的基础上,针对目前高职在校学生存在体能素质较弱,耐力差,柔韧性差等现实问题并结合铁路调车作业中连结员工种的作业标准设计一套与岗位工作强度相匹配的训练方案及考核评价指标体系。研究结果表明:经过10周HIIT(高强度间歇式训练)与对照组相比,试验组在训练前后在身高、体重、BMI、WHR方面存在显著差异(0.01<P<0.05)
理论研究 |
新时代大学劳动教育背景下机械类专业金工实习探索
摘 要:中共中央、国务院颁发的《关于全面加强新时代大中小学劳动教育的意见》提出加强劳动教育是贯彻落实立德树人根本任务,促进学生全面发展的新时代要求。金工实习是机械类专业的必修课程,它既是一些专业课程的先修课程,又是培养和启蒙学生基础工程知识,提高综合工程能力不可缺少的实践环节。将劳动教育内容与金工实习内容结合,学生可以通过工程训练教学环节的学习,能够进一步化识成智、积识成德,将学习成才和健康成长
理论研究 |
新工科背景下电气工程及其自动化专业人才培养模式改革研究
摘要:在新时期的发展背景下,社会各领域对于高素质应用型人才的需求也在不断提升。对于当前教育活动的组织与开展而言,如何结合教学实际,去加强学生的创新精神与创新能力,这无疑成为了学校发展和学生成才的关键所在。本文立足于OBE教育理念,就新工科发展理念下,应用型人才培养模式的构建进行思考。立足于电气工程及其自动化专业人才培养,针对电气专业的人才培养目标,就模块化的课程体系建设以及创新创业实践能力的培养等
理论研究 |
新时代大学生社会情商培育机制研究
摘要:人是社会性动物,作为个体的人是社会基本组成单位,不但可以影响社会稳定与发展,且还深受各种社会文化与情境影响,大学生亦不例外。近年来,国内外情商理论研究逐步深入,人们越发认识到情商之于人之生存与发展而言所具有的重要意义。大学生作为祖国建设与发展中坚力量,是极为重要的人才资源,高校作为人才培养重要阵地,理应顺应时代发展需求,积极发展与变革自身人才培养策略,坚持以社会主义核心价值观为基础,构建大学
理论研究 |
高职院校劳动教育的价值、困境及路径研究
摘要:劳动教育是落实立德树人根本任务的必然要求,也是培养社会主义合格建设者和可靠接班人的重要抓手。新时代针对劳动教育国务院也出台的最新的政策,明确了高职院校劳动教育在人才培养过程中的重要地位,各高职院校也开设了劳动课进行劳动教育,但劳动教育存在学生劳动观念淡薄、教育理念滞后、课程内容单一、制度保障不全等问题,针对这些问题,本文将立足高职院校的发展和学生的成长成才规律,探究劳动教育的价值、困境和劳动
理论研究 |
基于生熟异用理论的医嘱用药点评结果分析
摘要:目的: 是通过对我院含天麻钩藤饮加减的住院中药饮片医嘱用药点评结果的分析,促进中药生熟饮片的合理使用。方法: 从医院HIS系统抽取2019年1月至2020年1月脑病科住院中药饮片医嘱中含有天麻钩藤饮加减医嘱376张。分析含有天麻钩藤饮加减医嘱中中药饮片脚注、理法方药和生熟使用的具体情况。结果:天麻钩藤饮中医诊断多为眩晕病,主治中医学临床辩证为肝阳上亢型。主要存在脚注不规范和遴选生熟炮制品不适
理论研究 |
提升理工科研究生综合素养的“六个一”模式探究
摘要:针对目前高校理工科研究生的培养模式与社会需求脱节的情况,本文提出了“六个一”模式以提升理工科研究生专业综合素养,使得研究生了解其参与的训练项目的目的意义,引导其反思总结,从而实现应用与实践创新能力的提高,培养符合社会发展需要的高质量研究生。 关键词:培养模式;理工科研究生;“六个一”模式 中图分类号:G643 文献标识码:A 一、绪论 近年来,随着高等院校硕士研究生招生
理论研究 |
扬州高职院校毕业生就业途径对比研究
摘要:2020年全国高校毕业生有874万人,比19年增长40万,就业形势相当严峻。为了更好的服务于高职院校毕业生的就业工作,我们主要通过问卷调查研究了毕业生的就业途径和企业的招聘渠道,进而得出只有加强校企合作,工学结合和产教融合,方能既满足企业的招聘需求,同时也能满足毕业生的薪资和职业发展期望。 关键词:就业途径;招聘途径;校企合作;工学结合;产教融合 2020年全国高校毕业生有874万人,比
机械化工 |
轴承故障诊断技术及其在空间轴承中的应用思考
摘要:空间轴承是飞轮和控制力矩陀螺等空间惯性执行机构的核心部件,若发生故障,会直接影响航天任务执行能力。因此,空间轴承的故障诊断成为保证航天器高可靠、长寿命的一个重要支撑。本文首先介绍空间轴承的故障特点、诊断技术难点;然后总结分析目前轴承主要的故障特征提取技术、智能诊断等方法;接着,深入讨论这些技术在空间轴承故障诊断中的应用与发展;最后结合当前研究现状,对未来空间轴承故障诊断技术发展方向进行了分析
机械化工 |
铁路A型钢座架卷钢运输应用研究
摘要:卷钢具有单重大、易滚动的特点。卷钢运输一直是钢铁行业和运输行业的技术难题。针对铁路卷钢运输存在的实际问题,列举既有传统凹型草支垫运输弊端。通过调查研究,引进A型卷钢集装化座架(A型钢制座架),分析A型钢制座架的设计特点,对A型钢制座架进行冲击试验验证,指出未来工作要解决的关键问题。 关键词:卷钢;铁路运输;凹型草支垫;A型钢制座架;冲击试验 Research on the applica
机械化工 |
正渗透膜的制备方法及应用
摘要:本文介绍了正渗透(FO)膜的基本工作原理及未来发展趋势,阐明了几个典型的正渗透膜的制备方法、特性、优化以及正渗透技术的应用。 关键词:正渗透;优缺点;膜优化;膜应用 Preparation Method and Application of Forward Osmosis Membrane Shi Zheng Chen Qinglin Wei Xiaolong Gao Wei
机械化工 |
3D打印技术在轨道交通装备拆装实践教学中的应用
摘 要:通过分析轨道交通设备拆装实践教学的需求,提出应用3D打印技术构建设备模型并完成设备拆装实训的辅助教学手段,介绍了装备零部件数字化建模的方法、3D打印的过程以及利用打印模型完成拆装实践教学。教学实践表明,通过3D打印技术辅助设备拆装明显提高了拆装实训的教学效果,减少了对实际大型设备的依赖,也大大降低了实训成本。3D打印技术的应用使学生对设备构造及原理了解更加深刻,直接提升了学生工程实践和数字
机械化工 |
叉车电液升降驱动系统的动态特性及循环效率分析
摘要:提出了一种具有势能回收特性的叉车升降电液驱动系统,利用Matlab/Simulink软件对叉车升降电液驱动系统的提升阶段、下降阶段及整个工作循环系统进行建模及动态特性仿真研究,并分析不同负载时叉车升降电液驱动系统的循环效率。 关键词:电液叉车;升降系统;Simulink模型;能效回收 叉车作为仓库车间、港口作业、配送中心等场合主要的短途运输工具,其举升机构可实现货物运输、摆放及装卸等,又
水利电力 |
绝缘杆作业法在复杂作业项目中的应用探讨
摘要:根据绝缘杆作业法的作业方式和特点,结合带负荷更换柱上开关等复杂作业项目要求,探讨在复杂作业项目中如何选择、应用绝缘杆作业方式,通过实现绝缘杆作业法带负荷更换柱上开关或者其他复杂带电项目,为绝缘杆作业法在复杂作业项目中的应用提供一个思路和方法。 关键词:配网不停电作业,绝缘杆作业法,带负荷更换柱上开关,复杂作业项目 1 绪论 绝缘杆作业法是配网不停电作业方式之一,绝缘杆作业法的安全性优于
水利电力 |
基于小波分析的长江上游水文情势变化特征研究
摘要:本文以长江上游为研究对象,基于长江上游屏山站和寸滩站两个断面的流量时间序列资料,从水文情势的变化特征入手,运用Matlab软件中的Db3小波和Morlet连续复小波,进行周期性、突变性等规律性分析。研究结果表明:(1)屏山站1996年以后流量处于持续下降趋势,寸滩站流量呈现出整体下降的趋势,1985年以后出现快速持续减小;(2)屏山站年均流量序列在尺度6年、18年、29年左右时的小波方差最为