期刊详情
查看往期
期刊目录
2021年10期
刊首语 |
从楼市经济转向股市经济说起
2021年9月2日,在中国(北京)国际服务贸易交易会开幕式上,国家主席习近平宣布成立北京证券交易所,继续支持中小企业创新发展,深化新三板改革,打造服务创新型中小企业的主阵地。这一重大新闻事件引发了社会各界的广泛关注。北京证券交易所的成立标志着中国证券市场将形成“深沪京”三足鼎立的新格局,也标志着我国以房地产市场为代表的楼市经济开始转向以资本市场为代表的股市经济。 楼市经济转向股市经济是中国经济发
特别关注 |
双循环下的消费金融透视
编者按:当前我国正加快构建以国内大循环为主体、国内国际双循环相互促进的新发展格局,完善内需体系是其中的重中之重。中国共产党第十九届中央委员会第五次全体会议提出,持续扩大内需这个战略基点,加快培育完整内需体系,把实施扩大内需战略同深化供给侧结构性改革有机结合起来,以创新驱动、高质量共计引领和创造新需求。要畅通国内大循环,促进国内国际双循环,全面促进消费,拓展投资空间。由此,消费对经济的拉动作用可见一
特别关注 |
消费金融公司资本补充路径探索
消费金融公司作为专营消费信贷的金融机构,在促进消费、扩大内需等方面发挥了积极作用。但2020年以来,受疫情冲击、消费下滑和监管趋严等因素影响,我国消费金融公司发展不确定性增多,部分机构面临生存挑战。为增强发展的稳健性、可持续性以及风险抵御能力,消费金融公司亟须进一步增强资本实力。由于国内消费金融公司暂未公开上市(IPO),也不满足发行优先股的条件,目前只能通过增资扩股的方式补充资本,资本补充渠道单
特别关注 |
消费金融政策纵览:缘起、演变及其逻辑
消费金融政策的缘起 消费金融是什么 目前,消费金融方兴未艾,尚未具有完整而独立的理论根基,研究者对于消费金融缺乏公认的定义,因此国内外对于消费金融的概念,有多种版本的界定,限于篇幅,不一而足。本文研究的消费金融范围,区别于对公的“公司金融”,而是对私的“个人金融”,涵盖大部分与居民个人消费相关的资金融通活动,但是不含住房和汽车贷款业务。按照主要目标客户来源的不同,消费金融有传统商业银行型和新兴
特别关注 |
双循环下消费金融业态格局:特点、问题和求解路径
双循环下消费金融业态的特点 需求端:消费金融市场前景广阔 消费成为推动经济增长主要动能。2020年居民最终消费支出占GDP的比重为37.4%,较2019年小幅下降1.1个百分点,但仍是对GDP贡献最大的因素(按支出法计算)。2021年1~6月,社会消费品零售总额为21.19万亿元,同比增长23.02%;居民人均可支配收入为17642元,同比增长12%;居民人均消费性支出为11471元,同比增长
特别关注 |
创新视角下的消费金融市场供求透析
消费金融,从本质上讲是为客户消费需求提供金融服务,其主要业务形式为消费信贷。随着互联网和金融科技的赋能,消费金融不断向低收入人群和信用白条人群及广泛的中小城市和乡镇区域的人群覆盖,消费需求持续增长、消费金融经营机构快速成长、技术手段创新不断引领消费金融行业的发展。与此同时,消费金融亦存在着发展结构不平衡、产品服务同质化、消费者合法权益保护缺位、互联网监管措施与统一监管措施混同的局面。因此,我们要运
特别关注 |
中美养老金融发展比较与启示
随着我国人口结构进入老龄化阶段,以及延迟退休政策的逐步落地,养老金融成为银行业发展热点。面对中国历史上第一代数量庞大且个人财富相对充盈的老年人群体,越来越多的银行意识到养老金融对自身业务发展的重要性,加速构建养老金融服务体系。本文通过对标分析美国银行业养老金融服务特点,针对国内银行构建养老金融体系过程中存在的难点、问题进行剖析,并基于银行不同业务条线提出养老金融发展建议。 中美两国养老保障体系对
专稿 |
正确看待与处理当前的一系列经济与社会问题
如何看待当前复杂的经济形势,特别是如何看待自2020年以来迄今频繁出现的一系列经济与社会的现象,比如“网络平台”整顿、各地房市调控政策频繁出台、反垄断反资本无序扩张、整治网络游戏、整顿演艺圈、实施教育双减政策、学区房政策调整,以及2020年提出的碳达峰、碳中和目标,前不久又提出共同富裕的目标要求,等等。这一系列政策、制度的调整和新目标、新要求的提出,是否如网上所传,中国特色的社会主义市场经济其“底
评论 |
重温《资本论》札记
雇佣劳动与资本 又到“五一”国际劳动节了。劳动创造世界,向全世界的劳动者致敬! 大学同学在同宿舍小群里留言:“五一劳动节本是纪念产业工人八小时工作制的,现在扩大到所有劳动者,这个可以。但许多企业现在实际日工作都在十个小时以上,五一劳动节的意义无存了。”其实,不仅产业工人,很多白领“996”(甚至更严重)早已不鲜见。 这就赫然提出一个问题:搞社会主义市场经济,如何处理资本与雇佣劳动这对矛盾。毋
银行家论坛 |
银行数字化转型:路径与策略
编者按:2021年是中国共产党成立100周年,也是“十四五”规划开局之年。“十四五”规划明确加快数字化发展,建设数字中国,以数字化转型驱动人类社会的生产方式、生活方式和治理方式变革。当前,全球新一轮科技变革风起云涌,以人工智能、大数据、云计算、区块链、物联网为代表的新技术不断突破;同时,科技与金融的融合不断加快,对银行业的经营模式、服务模式和运营模式带来颠覆性变革。银行业数字化转型也亟须从架构调整
专题 |
中国自贸试验区城市金融竞争力评价报告
我国自贸试验区制度体制机制的改革创新,主要围绕着贸易投资便利化自由化、金融开放、政府职能转变和营商环境改善等重点领域展开。截至2020年底,我国自贸试验区片区覆盖城市共有51个,均为所在省市(自治区)重要的外贸港口、内陆交通枢纽、工业重镇和边境口岸城市。科学评价自贸试验区所在城市金融竞争力水平是一个全新视角。在科学评价的基础上,通过构建数学模型,系统分析51个自贸试验区城市金融竞争力水平和发展差异
专题 |
我国自贸试验区建设面临的问题与政策建议
设立自由贸易试验区是我国主动融入全球经济治理新格局、对接国际贸易投资新规则的重大战略举措。目前,自贸试验区已成为我国贯彻新发展理念、把握新发展阶段、构筑新发展格局的战略新平台,在国家进一步扩大开放、探索制度体制机制创新、对接区域协调融合发展、推动产业结构转型升级等战略领域发挥了“先行试验”探路者作用,为我国构建开放型经济新体制奠定了坚实基础。 我国自由贸易试验区改革创新评述 自贸试验区作为我国
宏观经济 |
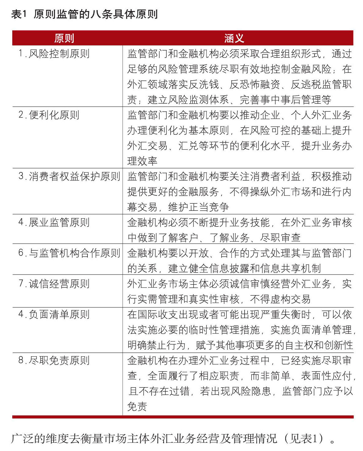
健全“原则+规则”监管相融合的外汇微观监管新模式
编者按:全球金融危机的频发,促使国际主流监管理念由以规则监管为主向以原则监管为主的发展趋势转变,我国也不例外。我们在2012年引入的“展业三原则”虽然体现了原则性监管要求,但目前在银行执行层面尚未真正落地,完全由“原则监管”取代“规则监管”确实存在一定难度。本文在综合考量具体国情和监管实践的基础上,提出我国需要充分发挥原则监管与规则监管的优势,构建完善以原则监管为主导、原则监管与规则监管相融合的新
宏观经济 |
区域金融的新发展:底层逻辑与创新边界
国家层面关于区域经济战略规划文件的发布密集程度及推进力度在近些年呈现出明显的超常规态势。自2019年以来,接连出台的国家级区域经济战略规划便超过20项。作为这些区域经济发展战略实施的重要支撑,加快调整和完善高度契合、功能完备的区域金融体系,同样迫在眉睫。 研判区域金融发展的多重视角 分层面来看,我国不同层级的区域发展是由不同主体在不同战略框架下实施推动的。总体上包括四个层级:在全国层面,重点建
宏观经济 |
数字货币的来龙去脉
编者按:当前,数字货币的研发工作成为各国央行的重要工作之一。我国数字人民币的发行和落地工作也正在加速推进,2020年以来中国人民银行已陆续在广东深圳、江苏苏州、河北雄安新区、四川成都和北京冬奥会场景启动多轮数字人民币试点和测试工作。那么,数字货币的研发是如何逐渐成为主流趋势的,数字货币的发展将对商业银行产生怎样的影响,数字货币的安全性如何,我国数字人民币的走势前景如何,带着这些疑问,本刊记者约请《
宏观经济 |
美国大规模财政刺激对我国的溢出效应
导语:为应对新冠肺炎疫情的冲击,美国陆续推出多轮大规模财政刺激计划,已推出和拟推出的财政刺激规模已约10万亿美元。笔者认为,美国大规模财政刺激有助于我国出口,我国整体通胀压力和资本外流风险均可控,但仍需警惕大宗商品价格上涨对制造业利润的挤压、资产价格波动、中美经贸争端等风险。我国宏观政策应侧重内循环、重视需求侧管理,以内部均衡为主;货币政策应以稳为主,提高短期通胀容忍度。同时,我国可在维护全球金融
商业银行 |
金融监管三支柱及其落地路径
“十四五”规划做了“完善现代金融监管体系”的专门部署,银保监会主席郭树清在其《完善现代金融监管体系》一文中,进一步提出健全宏观审慎、微观审慎、行为监管三支柱监管体系,对金融机构加强风险管理具有导向性意义。 三支柱内涵和新趋势 审慎监管和行为监管的内涵 审慎监管包含微观审慎监管和宏观审慎监管。从国际监管发展的历程来看,微观审慎监管出现更早,正式始于1997年巴塞尔委员会发布的《有效银行监管核心
商业银行 |
商业银行科技部门前台化转型路径思考
数字化银行时代,为充分发挥金融科技在业务转型中的引领作用,商业银行科技部门须从产品和客户视角出发,进一步深化科技部门与前台部门之间的协作,推动业务与技术的紧密融合。本文以某商业银行线上“车联贷”系统为例,阐释科技人员由后台走向前台,将“业技合作”从研发环节扩展到产品全生命周期,加快业务经营发展的思路,并提出科技部门前台化转型的路径。 商业银行科技部门前台化转型的必要性 数字化时代“‘金融 +
商业银行 |
城商行理财业务转型分析
随着我国经济社会的快速发展,居民财富不断积累,资产配置需求和标准日益提升,为商业银行理财业务市场带来广阔的发展空间。城商行作为区域性银行,在理财业务上表现出良好的发展态势,其理财产品成长性高、对市场反应敏捷,具有较强差异化、个性化的竞争优势。但是在监管的严格要求下,城商行理财业务发展也受到了巨大的冲击,亟须探索新的发展模式。 城商行理财业务发展现状 城商行稳步推进净值化转型。截至2020年末,
商业银行 |
中小城商行发展社区银行的经营模式探讨
社区银行是普惠金融的重要落脚点,是提升城乡居民金融服务可获得性的重要一环,对于优化金融资源配置、打通社区金融服务“最后一公里”具有重要意义。中央经济工作会议曾提出:“要以金融体系结构调整优化为重点深化金融体制改革,发展民营银行和社区银行,推动城商行、农商行、农信社业务逐步回归本源。”在监管政策的推动下,社区银行必将成为未来商业银行转型发展的重要突破口之一。 社区银行存在的问题 我国社区银行在发
全球视线 |
欧元再国际化面临的新形势与未来思考
目前欧元的国际货币地位稳步提升,在国际结算、支付和世界货币储备等方面均保持较高份额。虽然欧洲经济面临“英国脱欧”和“逆全球化”思潮加剧的挑战,但凭借日趋稳定和成熟的治理模式,欧洲的财政政策一体化趋势增强,并在绿色经济、绿色金融以及数字化转型等领域走在世界前列,促进欧元的进一步使用,开辟更加广泛的欧元国际化通道,以此支撑欧元的国际货币地位。 但是,欧元国际化遭遇到许多新的挑战。一方面,受制于美国关
全球视线 |
国外中小微企业政策性金融四大服务体系
中小微企业政策性金融服务体系作为国家政策性金融服务体系的重要组成部分,是推进我国金融服务市场供给侧结构性改革的有益探索,也是实现政府优化配置金融资源的重要手段。本文聚焦全球经济发达国家的经验,通过对四大服务体系的介绍,以期对我国构建中小微企业政策服务体系产生一定的借鉴意义。 政府政策支撑体系 中小微企业法律法规保障体系,为相关政策制定提供法律依据 建立健全中小微企业法律法规保障体系是保护中小
金融市场 |
绿色溢价下金融支持路径选择
当前,我国碳达峰、碳中和发展目标的确定对经济结构绿色转型提出了新的发展要求。对于不同行业而言,自身禀赋差异决定其会产生不同的绿色转型路径。金融作为支持实体经济发展的重要手段,应发挥金融杠杆作用,通过金融引导资源从技术落后、高碳排放的企业流向技术先进、低碳排放的企业,以促进技术进步、推动低碳转型发展。本文基于行业绿色溢价以及碳排放量视角对不同行业的绿色发展阶段进行划分,并依据细分类别下行业绿色转型的
金融市场 |
金融机构如何构建内部信用评级体系
近年来,我国信用债市场发展迅速,债券品种不断丰富,发行金额和存量总额持续增长。截至2020年末,债券发行人数量超过5000家,中小型发债企业明显增加,债券信用水平分化明显, 低评级债券和高收益债券数量显著增加。2020年,信用债发行规模达到19.07万亿元,同比大幅增长28.41%;信用债存量总额达到38.72万亿元,同比增长17.73%。 从信用评级来看,2020年,债券发行人外部主体评级AA
资产管理 |
新监管环境下理财子公司风险管理重点策略探析
2021年是资管新规(《关于规范金融机构资产管理业务的指导意见》)过渡期的最后一年,商业银行理财业务面临着完成净值化转型、推进老产品整改、提升新产品竞争力、完善制度体系建设、强化全面风险管理等系列重要任务,其中做实重点领域风险防控是理财子公司高质量转型发展的重要支撑。在产品净值化管理背景下,传统的以类信贷(非标)业务信用风险管控逻辑为核心的理财业务风险管理体系面临深刻变革,市场风险、流动性风险和合
资产管理 |
金融控股集团内部如何开展业务协同
众所周知,诞生于1999年的华融、长城、东方、信达四家金融资产管理公司(以下简称“资产管理公司”),在2005~2006年提前完成政策性不良资产处置任务后,开始向能够提供全牌照金融产品的现代综合金融服务商转型,先后收购或发起设立了银行、证券、保险、信托、期货、基金、担保、融资租赁、期货、房产开发等一级子公司。同时,四家资产管理公司在全国各省设有分支机构,经营金融业务的子公司如何与经营不良资产的分公
金融科技 |
量子近似优化算法在我国股票市场的应用研究
2020年10月16日,习近平总书记在主持中共中央政治局第24次集体学习时强调:“要充分认识推动量子科技发展的重要性和紧迫性,加强量子科技发展战略谋划和系统布局,把握大趋势,下好先手棋。”随着量子科技时代的来临,量子计算机、量子加密通信、量子算法、量子算料与存储、量子金融市场等诸多领域取得蓬勃发展。其中,量子计算机作为颠覆性挑战经典计算机的新时代算力基础,近年来在全球范围内已取得了一系列突破性进展
金融科技 |
聚焦银行系金融科技公司助力银行数字化转型
编者按:“十四五”期间,我国将大力推进数字产业化和产业数字化转型、加速数字经济发展,科技成为金融机构提高业务能力的主要驱动力之一,金融科技的时代已经到来。日前,由清华大学经济管理学院金融系何平教授指导、清华大学经济管理学院九名本科生和北京邮电大学信息与通信工程学院一名本科生组成的“经智风行”实践支队,围绕“面向智能化风控的商业银行数字化转型”主题,对龙盈智达(北京)科技有限公司首席数据科学家王彦博
金融史话 |
社会主义货币银行事业奠基的历史意义和宝贵经验
中国共产党是以马克思列宁主义作为行动指南的工人阶级政党,在百年奋斗的历史画卷中,货币银行工作占有重要一页。习近平总书记指出:“一切向前走,都不能忘记走过的路;走得再远,走到再光辉的未来,也不能忘记走过的过去,不能忘记为什么出发。”笔者本着温故知新的精神,就新中国成立前后我们党践行马克思列宁主义关于工人阶级政党建立国家银行体系、掌握货币发行权的实践作出回顾,揭示其历史意义及其宝贵经验。 国民政府背
金融史话 |
“红庙子”一级半市场的自生自灭
“红庙子”是成都市中区一条长约200米、宽约10米的老街,它因为“炒股”而名声鹊起。舆论界认为,世界最大的股票“场外交易”市场非它莫属。1993年初的“红庙子”出现了中外罕见的股市奇观,正如当时财经记者写真的片段: “那如潮水涌动的炒家‘串串’们,竟是大摇大摆地捧着股票沿街叫卖;街的两旁,一边是挨个儿的茶摊,座无虚席,他们的面前摆满了五颜六色的股票和股权证,只是没有写上明码实价,而是当面议价,如
理论探索 |
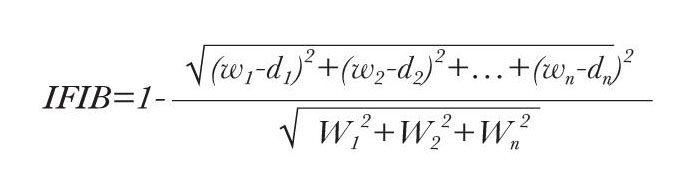
结构化视角下商业银行普惠金融指数模型构建及测度分析
摘要:本文以商业银行数据为基础,基于服务手段的结构化视角选取多维度普惠金融指标体系构建我国商业银行普惠金融指数模型,用以测度2013~2019年我国商业银行普惠金融发展水平。通过研究发现商业银行服务普惠金融水平整体趋于上升,银行网点、从业人数等传统指标虽有一定增长,但贡献效率逐年下降;在数字化技术深入发展背景下,商业银行服务普惠金融的工具和渠道得到变革,打破原有时空限制,提升了商业银行服务普惠金融
地方工作 |
普惠金融视角下 “银发金融”服务的发展
2025年,我国60岁及以上老年人口将达到3亿人,中国将进入老龄社会,深化金融服务惠及“银发群体”成为亟须研究的一项课题。本文以L市为例,选取五区两县共700位60岁及以上老年人开展问卷调查,结合19家银行机构“银发金融”服务现状,分析研究目前老年人在金融服务和消费方面存在的痛点,并提出政策建议。 L市现有国有商业银行、股份制银行和地方法人银行共19家,大都针对老年群体提供特殊服务。在金融产品设