期刊详情
查看往期
期刊目录
2021年10期
前沿资讯 |
国内国际要闻
4月份人民币贷款增加1.47万亿 4月份人民币贷款增加1.47万亿元,比上年同期少增2293亿元,比2019年同期多增4525亿元。4月末,外币贷款余额9232亿美元,同比增长10.8%;本外币存款余额226.69万亿元,同比增长9.2%。4月份人民币存款减少7252亿元,同比多减2万亿元。4月末,外币存款余额1万亿美元,同比增长33.2%。4月末社会融资规模存量为296.16万亿元,同比增
前沿资讯 |
行业公司
养老产业:市场规模增长将破10万亿元 第七次全国人普数据显示,60岁及以上人口为2.64亿人,占总人口的18.70%;其中65岁及以上人口为1.91亿人,占总人口的13.50%。随着生活水平的提高,居民健康意识增强,从源头端医疗器械到终端药品,均成为老龄人的关注重点。这或将激发家庭医生、慢性病管理、保健药品、远程医疗、可穿戴医疗设备等行业的兴起。市场人士分析,老龄人口增多将带来较高社会消费倾
封面文章 |
新能源闭环:碳中和赋能的超级赛道
碳中和的赋能,将使“新能源闭环”成为未来确定性极高的超级赛道。未来以“光伏、风电和核能等新能源+储能+特高压输电+电动智能汽车”的能源闭环将取代“黑色系化石燃料+远洋运输(本地开采)+火力发电+内燃机汽车”的能源闭环。以新能源电力为核心的能源方式将引领产业经济转型升级。在这个替换的过程中,将诞生许多的时代机会和众多伟大公司。 不要轻视国家意志的坚决和国家战略的指导意义。“碳达峰和碳中和”将是未来
宏观·策略 |
中国股市身处何阶段(下)
从全球股市500年走势图看得出,人类社会发展正处于加速发展态势,新旧交替速度愈来愈快。由全球第一只股票发行至第一次股市泡沫爆破经历长达167年时间,但第一只汽车股发行至大萧条则只需数十年,而到第一只互联网股票上市至科网股泡沫爆破则缩短至几年时间。面对不同时期,投资方法亦有异。价值投资之父格拉汉姆捡烟蒂投资法到1960年代已经完全失效,股神巴菲特引以为傲价值投资法已经连续10年落后于纳斯达克指数。苹
宏观·策略 |
五一假期的消费复苏趋势被低估
进入二季度以来,受疫情影响严重的服务消费迎来了快速恢复时期,成为经济增长的亮点所在。 [经济“似快实慢”,服务依然偏弱] 受去年同期低基数影响,今年一季度GDP同比录得较高增速,而4月政治局会议指出要“辩证看待一季度经济数据”,当前经济恢复不均衡、基础不稳固。从季调环比增速上来看,一季度0.6%的增速也并不高。 按两年年均增速来计算,今年一季度GDP同比增速仅5%,低于去年四季度增速水平。而
宏观·策略 |
酝酿转机 等待突破
近期,外围市场动荡,但是历经了2个半月横盘震荡调整的A股市场经受住了外围市场的杀跌冲击,并且在周五时“蠢蠢欲动”。从技术面上看,沪指近期一直被60日均线趋势压制着,后市若能有效地放量突破并站上、站稳60日均线,意味着市场的转机出现,上升空间会打开。后面的行情就会值得期待了;反之,我们则要继续忍受煎熬。 在4月底的文章当中,我们曾给大家点评分析过,市场好像又活过来了。所以,从技术面上看,目前沪、深
宏观·策略 |
千点大反弹仍然可期
全球股市近期出现了一波跟随美股波动而下跌的行情,股民朋友们忧心忡忡。对于A股市场,笔者认为,我们可以从短期和中长期角度来分析一下。 从短期来看,上证指数目前处于相对安全的位置上,随时可能启动一波千点反弹行情。目前全球资产均已经创出了历史新高,除上证A股以外。显然,上证指数在3400点仍相对低估。 从中期来看,A股今年仍处于“牛市下半场”的行情当中,预计7月以后随着全球市场系统性风险的积累和释放
宏观·策略 |
上海机电:高瓴一季度继续加仓
本期股市动态30指数收于1450点,较上期下跌1.3%,同期上证指数上涨1.26%,创业板指数下跌1.86%。成分股中,丽珠集团、航发动力和中国外运等个股涨幅靠前。京东方A、中国电影和国电南瑞涨幅靠后。 个股点评: 上海机电(600835):公司的主业为电梯制造与服务,旗下上海三菱电梯是国内电梯头部品牌。2020年年报数据显示,公司累计销售电梯9.36万台,同比增长5.49%,实现营收223亿
趋势·市场 |
空间能否突破很关键
市场仍然没有向上形成有效的向上突破,还是在区间内来回的晃来荡去。同时,这个震荡区间的上轨和下轨不断的收敛,区间也就是在100点左右。上证指数最近两周是区间震荡,创业板指数则是冲高后大幅回落的走势,震荡区间明显的加大。 表现最强的相关板块当属医美概念。强顺周期板块,主要是受通胀及国际大宗商品期货大幅收涨、自身业绩有所改善等带来了强势,特别是里面的钢铁和煤炭板块,比有色板块表现的要好很多。但顺周期板
趋势·市场 |
大盘箱体震荡 多空力量纠缠
5月8日,某财经网络媒体报道称:“小长假后,风云突变,4月份最强的创业板指数,在毫无征兆的情况下,低开低走大幅下跌。”问题是,这波调整真的没有预兆吗?其实,4月29日撰写的文章中,笔者就对创业板指数作了分析,并指出:“值得注意的是,有多个短线指标已到了较高位置。”(见图一) 图一:创业板指数日K线浪形分析 如图一所示,今年春节后,创业板跌势迅猛,从2月18日的3476高点到3月9日的2608低
趋势·市场 |
华灿光电:一季增收不增利 国资接手引关注
截至5月12日收盘,上证指数涨0.61%,报3462.75点,深证成指涨0.70%,报14064.87点,创业板指涨1.34%,报2960.36点。华为海思概念、通信服务等多板块活跃,医美概念再掀涨停潮,电力板块全天相对弱势。 大宗交易市场上,5月6日-5月12日,5个交易日里沪深两市共发生大宗交易558笔,其中深市成交284笔,沪市成交274笔,合计成交4.21亿股,成交金额为46.67亿元。
趋势·市场 |
赤峰黄金:黄金成长龙头 产量加速释放
本统计期内(5月6日至5月12日),A股在3400点左右震荡,A股整体估值渐趋合理,大宗商品上涨期间为周期板块带来了机会。 从行业资金流向看,本期仅有采掘、银行两个行业呈现净流入状态,金额分别为20.87亿元、15.17亿元。电子、医药生物、非银金融、食品饮料等行业净流出居前,金额分别为221.30亿元、190.12亿元、132.23亿元、103.46亿元。 个股方面,除去停牌股票,净流入个股
趋势·市场 |
结构性机会受投资者关注
本统计期(2021年5月6日 - 2021年5月12日)两融余额为16,716.71亿元,较期初(5月6日)上升约105.97亿元,上升幅度为0.64%,较上期(4月30日)余额16,706.56亿元上升约0.06%。 从行业层面上,申万28个一级行业中共有21个呈现融资净买入状态,占比为75%,较上期净买入行业的数量上升了10个,纺织服装、非银金融、农林牧渔位列净买入状态的前三名,净流入金额分
趋势·市场 |
科技股全球遇冷 加密币连续大跌
受劳动力市场的乐观数据提振,美国股市周四收盘大幅走高,市场普涨,从此前连续三天的抛售中反弹。三大股指均录得强劲涨幅,标普500指数录得逾一个月来最大百分比涨幅。道琼斯工业指数上涨1.29%,标普500指数上涨1.22%,纳斯达克指数上涨0.72%。 有人欢喜有人忧,指数上涨并不代表所有个股都强势,特斯拉本周四天就崩了15%,阿里巴巴、蔚来等中概股也大跌,这背后反映的是科技股已经或正在步入“熊市”
趋势·市场 |
中远海控:集运景气度上升 业绩同比大涨
据东方财富Choice数据显示,截至A股5月12日收市,沪股通已用额度17亿元,当日额度使用率3.27%,当日剩余额度502.998亿元。深股通已用额度4.27亿元,当日额度使用率0.82%,当日剩余额度515.73亿元。从成交额来看,本周沪股通合计成交411.36亿元,深股通合计成交金额为450.69亿元。 个股方面,陆股通前十大活跃股有五粮液、兴业银行、格力电器、迈瑞医疗、美的集团、中远海控
趋势·市场 |
中国中药:布局中药全产业链 业绩将持续增长
疫情下核心业务业绩仍保持正增长 2020年中国中药业绩创新高,疫情下取得经营业绩正增长,主要是来自于疫情期间积极复工复产以及紧抓中医药行业的发展机遇。2020年年度实现营收148.1亿人民币,同比上升3.4%,增速减缓主要原因是受疫情影响上半年业务增长放缓;净利润增长4.7%至16.63亿人民币,其增速超过营业收入增速。中药配方颗粒为公司的核心业务,2020年其业务营业额约为人民币100.13亿
行业·公司 |
中宠股份:加速布局国内市场
市场方面,国泰君安在新近的策略报告中谈到,A股财报季后分子进入空窗期,机会主要来自危机并存的分母端(分子指企业盈利,分母指流动性和风险偏好)。 A股企业一季报盈利实然高增,20个一级行业归母净利润同比增速的历史分位数(2010年至今)超80%,上游/中游周期、可选等大类行业增速均在300%以上。但当前通胀顶部形态不定,中期视角下盈利优势的行业结构仍较为模糊,博弈重心转向分母是应然选择。分母端约束
行业·公司 |
美瑞新材:2021年Q1营收与净利涨幅均超100%
《动态》:美瑞新材于2021年4月27日披露了2021年一季度业绩报告,您可否为我们介绍下详细情况? 孔铭:公司2021年第一季度实现营业收入2.73亿元,较上年同期上涨137.14%;归母净利润为2249.55万元,同比上涨127.93%。报告期内得益于国内新冠疫情得到控制,市场需求增加,同时公司持续加大市场开拓力度,进一步扩大份额,使产品销量提升;此外,一季度TPU主要原材料价格上涨
行业·公司 |
润邦股份:公司暂未涉及海上风电维修业务
公司涉及海上风电维修业务。 求证:不属实。 近日,有投资者咨询了润邦股份(002483):“请问贵公司有海上风电售后维修的船舶吗?海上风电的维修客户有哪几家?” 对此,润邦股份表示,公司为市场提供各类海上风电安装作业平台、海上风电基础桩、海上风电钢结构等海上风电装备产品。其中,海上风电安装作业平台可用于海上风电场的后期维护等方面,但是目前公司暂未涉及海上风电维修的相关业务。 润邦股
行业·公司 |
茅台股价将下跌超千元
贵州茅台(600519)在2021年2月18日创出历史新高2627.88元,5月7日股价下跌至收盘价1903元,已跌724.88元,跌幅约28%。当前,笔者预计今年贵州茅台将从最高点下跌1000元左右,跌至1600-1700元之间,那里是2020年7-11月众多新基金建仓贵州茅台的成本线。理由是估值太高,长期看会回归合理。 (一)从PEG估值方法看,按公司2021年计划营收增速10.50
行业·公司 |
大中矿业:内蒙古九年来首家新上市企业
内蒙古迎来近九年来的首家新上市公司。5月10日,内蒙古大中矿业股份有限公司(以下简称“大中矿业”)正式登陆A股市场,在深市主板上市,公司上市首日收涨43.99%,报12.93元。 公开资料显示,大中矿业(001203)主营业务为铁矿石采选、铁精粉和球团生产销售、机制砂石的加工销售。公司拥有内蒙和安徽两大矿山基地,经国土资源管理部门备案的铁矿石储量合计52245.28万吨,TFe平均品位不
行业·公司 |
京东方A:2021年2000亿+200亿面板巨无霸(二)
利润表: 会计处理谨慎 净利依旧亮眼 重资产型的制造业,核心就两个看点:1、产能;2、价格。单从产能角度看,2020年疫情对武汉B17产能的爬升有明显的影响。笔者在2020年2月的文章《LCD价格大涨:京东方、TCL业绩弹性几何?》中曾提到:预计需要明年(2021年)2月份才能达到满产状态。但实际上,今年2季度才能达到满产。产能释放和原本期望的年初就上涨的价格,都不及预期。而2020年京东
行业·公司 |
国光电气:研发投入力度下降应收款与存货高企
成都国光电气股份有限公司(以下简称“国光电气”)成立于1958年,为我国综合性微波电子管厂、国家大型军工企业,2000年10月改制为集科、工、贸为一体的股份有限公司。主要从事真空及微波元器件等产品的研发、生产和销售。 2020年10月,国光电气首次递交招股说明书,拟登陆科创板,并募资约9.90亿元投入到科研生产综合楼及空天通信技术研发中心建设项目、特种电真空器件生产线项目、核工业领域非标设备及耐
行业·公司 |
聚赛龙:研发投入逐年降低 熔喷业务不可持续
2020年9月,聚赛龙首次递交招股说明书,拟登陆创业板。此次聚赛龙拟公开发行人民币普通股(A股)11,952,152股,募资约3.6亿元用于华东生产基地二期建设项目、华南生产基地二期建设项目、补充流动资金等。2021年5月7日,聚赛龙上会通过。 尽管已经成功过会,但是《股市动态分析》记者研读招股书后发现,聚赛龙仍然有诸多问题需要引起市场警惕。首先,近年来聚赛龙经营性现金流经常为负,应收账款大幅增
行业·公司 |
VR:痛点逐渐消除 重视产业崛起
最近几年消费电子设备创新不断,从2019年的无线耳机,再到2020年的无线充电、快充等,无不引起一轮消费电子股热炒,进而诞生一批牛股。VR被市场认为是驱动消费电子下一轮增长的主动力。 以前有过一轮VR资本热,但产业链存在硬件和软件多个痛点,板块短期爆炒后偃旗息鼓。经过5年的发展,原来VR的一些弊端逐步消除,产业链有重新崛起的迹象。 产业痛点逐渐消除 VR在2015年曾经历过一次资本热,目前已
行业·公司 |
体育服饰:渗透率逐步提升市场空间仍巨大
中国体育用品市场近年来发展迅速,其中,体育服饰亮点颇多,已成为服装板块最佳赛道。根据国金证券李婕提供的数据,截至2020年底,中国体育服饰行业市场规模已达3150亿元,CAGR5为11.10%,(不考虑受疫情影响的2020年,2014-2019年CAGR5达16.60%),展现出良好的成长性。市场快速扩容下,2016至2020年体育服饰占服装行业整体零售市场规模比重已由8.80%上升至13.30%
行业·公司 |
股神榜:美的集团、深科技、洋河股份
美的集团000333 美的集团5月10日公告,拟以25-50亿元自有资金回购股份,回购价格不超过100元/股,回购的股份将注销减少公司的注册资本。此外,公司控股股东美的控股拟在未来12个月内,以不低于8亿元增持公司股份。我们认为:1)回购与控股股东增持并行,彰显对公司长远发展的坚定信心。2)近期跟踪:空调5月外销排产再次高增,内销价格延续增长,全年量价有望兑现。3)全球化多元化业务稳步推进,
行业·公司 |
风险警示:天邦股份、*ST经开、新强联
天邦股份002124 公司主要产品为食品及食品相关类别中的商品种猪、商品仔猪、商品肉猪、猪肉生鲜产品、猪肉加工产品、猪用疫苗、猪用饲料和水产饲料、生猪养殖技术服务等。公司4月份商品猪销售情况显示生猪销售量环比大幅下降,主要是去年10-11月份断奶仔猪销售量比较高,育肥投苗较少,导致本月出栏肥猪数量减少;同时公司本月减少了仔猪销售。商品猪市场价格的大幅波动(下降或上升),都可能会对公司的经营业
机构·理财 |
恒生科技指数ETF集中发行中国科技龙头投资再添利器
2021年5月8日,首批8支追踪恒生科技指数的内地基金产品获批,其中6支ETF产品于5月11-12日集中公开发行募资。恒生科技指数是继恒生指数和国企指数后的第三个港股旗舰指数,旨在追踪香港上市的龙头科技企业,包括阿里巴巴、京东等二次上市的非港股通标的,可投资的范围更广,中国科技龙头投资再添利器。 8只恒生科技ETF获批头部科技公司一网打尽 2021年5月8日,首
机构·理财 |
年内基金分红超千亿元 同比猛增近173%
今年以来公募基金再现大手笔分红。Wind数据显示,截至5月11日,今年以来共有1263只基金(不同份额分开计算)累计分红1049.36亿元,较去年同期的383.31亿元猛增近173%。其中,债券型基金有807只,占比63%;偏股型基金和偏股混合型基金共188只,占比14.88%。 从单只基金分红金额来看,葛秋石管理的易方达价值精选(110009)分红最为慷慨,该基金年内共计4次分红,总额达26.
机构·理财 |
券商股集体大涨 结构性行情延续
本周五券商板块集体大涨,板块指数上涨6.7%,带动指数大涨,上证指数上涨1.77%。券商股2021年大幅调整,周五的大幅上涨只是超跌反弹,因为券商目前并没有很明显的利好,A股的成交量也没有明显的放大,券商的基本面没有发生明显的利好变化,故本次券商股的上涨可以认为就是一波超跌反弹的行情。 当然这也可以看出,券商股稍有反弹指数就出现明显大涨,而银行等蓝筹股还在底部,所以A股向下的空间是很小的
机构·理财 |
从抢盘细节了解次日走势
一叶知秋,即从一片树叶凋落知道秋天的将至,比喻通过个别的细微的迹象,可以看到整个形势的发展趋向与结果。在股票市场中,也有“一叶知秋”的现象。不过,对规律的分析总结以及对未来的预测,都不是仅仅凭靠单一因素完成,我们需根据更多条件进行判定。 在特定环境下,主力可以通过资金优势,干扰影响甚至操纵股价,这种现象屡见不鲜。根据盘口的细微行为,结合股价表现,我们可以分析主力的想法。例如一只个股连续涨停,但是
数据精选 |
本周沪深市场概览
一周沪深市场概览
数据精选 |
北上资金持仓、持股变动
北上资金持仓、持股变动
数据精选 |
南下资金持仓、持股变动
南下资金持仓、持股变动
数据精选 |
一周龙虎榜交易居前营业部买入个股
一周龙虎榜交易居前营业部买入个股
数据精选 |
重要股东、高管二级市场增、减持明细
数据精选 |
一周成交量大幅增加前50只个股
一周成交量大幅增加前50只个股
数据精选 |
一周超大单资金净增(减)仓股前20名
一周超大单资金净增(减)仓股前20名
数据精选 |
一周资金净流入(出)额前20名
一周资金净流入(出)额前20名
数据精选 |
本周创出今年以来新高的股票
本周创出今年以来新高的股票
数据精选 |
一周热点板块表现个股
一周热点板块表现个股
数据精选 |
十大涨跌幅、换手、振幅、资金流向
十大涨跌幅、换手、振幅、资金流向
数据精选 |
全球主要指数走势点评
全球主要指数走势点评
数据精选 |
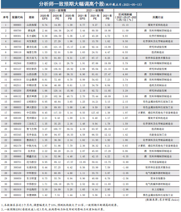
分析师一致预期
分析师一致预期
数据精选 |
股市日历
股市日历