期刊详情
查看往期
期刊目录
2021年20期
经济纵横 |
服务业型地方小微企业实现健康平稳发展的对策研究
本文通过对当前新形势下的贵州省地方小微企业的经营环境进行分析,探讨了国外出口需求下降、国内经济转型发展双重压力对于贵州省地方小微企业生产发展的影响,影响的内容包括对于地方小微企业供应链的影响,地方小微企业的资金周转遇到困境,以及外部不稳定环境限制了企业的生产经营的影响,和对企业转型经营的影响。最后根据以上分析制定出贵州省地方小微企业应对新挑战实现健康平稳发展的对策,包括与大中型企业开展全方位的合作
经济纵横 |
政府职能视角下的旅游业可持续发展研究
旅游业是我国当前经济发展中的一项重要内容,尤其是在很多以自然旅游资源为主的城市或地区,旅游业更是当地的支柱性产业,对于社会经济发展水平的提升有着直接的影响。而在旅游业的发展中,政府职能发挥着不可忽视的重要作用,对于旅游业可持续发展空间产生巨大的影响。但是在当前旅游业发展中,政府职能并没有得到充分的发挥,在管理体制、政策扶持、市政营销、人才培养、旅游环境、周边发展等方面都有所欠缺。因此,需要从这些方
经济纵横 |
服务型政府绩效评估的问题及对策探析
随着社会经济的发展以及群众日常生活水平的不断提升,我国的服务型政府得到了越来越多的建设,但由于建设过程中对于各个细节的重视程度不足,再加上各种客观因素所带来的影响,导致服务型政府内部的绩效评估工作出现了多种问题,如果绩效评估工作不够完善,会对政府的成功转型产生极其严重的阻碍。因此,文章首先对服务型政府绩效评估工作的重要意义加以明确;其次,对当前服务型政府绩效评估工作中存在的问题展开深入分析;在此基
经济纵横 |
创新驱动过程视角下的玉田县创新型区域评价指标体系研究
创新驱动战略的提出进一步推动我国综合国力的发展,而在其创新驱动视角下,发展创新型区域成为提高区域经济水平的关键所在。本文从创新型区域的分析入手,以玉田县为例,进一步阐明创新型区域评价指标体系的构建,以期具有参考价值。 为实现对我国综合国力以及社会生产水平的进一步促进,传统的土地大规模消耗、资本大量投入等粗放型发展模式已经无法满足需求。对此,创新型区域的提出可以在转变以往发展模式的同时,推动区域经
经济纵横 |
新产品新工艺赋能传统制造业升级换代探讨
新产品新工艺的技术革新为我国传统制造业的升级换代提供了机遇和条件,利用新产品新工艺中的相关创新技术推动传统制造业的发展,为我国传统制造业升级换代提供一个新的平台。论文主要对现阶段我国传统制造业在升级换代过程中存在的问题进行了分析,从四个方面有针对性的提出利用新产品新工艺促进传统制造业升级换代的有效策略 一、引言 科技技术的进步为推动我国传统制造业升级换代提供了重要的发展力量,传统制造业的发展需
经济纵横 |
浅析固定资产投资项目节能评估和审查工作
在我国法治机制不断完善的背景下,对固定资产投资项目的内容进行了整合,为节能评估方式的实施更提出了新的法律依据,然而在固定资产投资项目节能发展上看,将其与环境影响评价进行比较,发现在支撑节能评估方式的应用中还存在一定的问题。因此,本文对固定资产投资项目节能评估方法的要求和应用等进行了分析,希望可以为相关的企业提供帮助。 我国政府为了落实可持续发展战略,更好地贯彻新修订的节能法,发挥它在固定资产投资
经济纵横 |
浅析中国由贸易大国向贸易强国转变过程中的问题
伴随着经济的不断发展,改革开放与时俱进,中国的对外贸易不仅在总量方面实现了世界著名的成就,而且已经成为一个真正的贸易强国。此外,中国的贸易结构日益优化,贸易利益也逐渐增多。然而,其技术水平依然较低,很少有自主品牌,以及严重的环境污染问题已经限制中国对外贸易的进一步发展。因此,在一个新的时代,从一个新的角度来看从贸易大国到一个强大的贸易国过渡的问题这是非常具有积极的意义。本文将首先介绍研究背景及研究
经济纵横 |
浅议数字媒体对经济发展的影响
随着社会的发展进步,我国科技能力不断提升,我国现代信息技术水平逐步提高,使我国数字媒体行业得到了飞速发展,不但改变了我们的生活,更对我国经济发展带来了前所未有的影响,本文对数字媒体对经济发展的影响进行了简单的分析。 数字媒体是以二进制数字的形式存在于记录、处理、传播和获取过程中的信息媒体。这些载体包括绝大多数感官媒体,如数字文本、图形、图像、音频、视频图像和动画,以及表示这些感官媒体的表达媒体(
经济纵横 |
大数据时代统计学面临的挑战与变革
科学技术在现阶段的发展过程中取得了长久化的进步,在信息技术的革新过程中,逐渐涌现出了以云技术与物联网为主的尖端科技,为大众的生活带来便利的同时,促使社会生产形式出现了较大的变动。在大数据时代的影响下,统计学逐渐加强了与数据信息之间的联系,并在大数据时代的建设过程中发挥出了自身的实用价值。然而,时代的变革趋势也为统计学模式的转型带来了新机遇与新挑战,为了能够保障统计学能够顺利的应对转型过程中的难题,
经济纵横 |
新疆少数民族地区脱贫攻坚与乡村振兴衔接研究
随着扶贫工作的日益深入和2020年脱贫攻坚的顺利收官,其对新疆少数民族地区深度贫困乡村的影响日益深入。本文以阿克苏地区柯坪县为例,充分肯定脱贫攻坚取得的成效,并就如何进一步做好脱贫攻坚与乡村振兴发展战略的有机衔接提出几点建议,并借助制定和实施国民经济和社会发展第十四个五年规划之际,因地制宜及时调整扶贫工作的目标和努力方向,加快新疆少数民族地区乡村振兴发展战略的实现。 一、研究新疆少数民族地区脱贫
金融研究 |
商业银行实施经济资本管理的难点及对策
在我国商业银行风险意识逐渐提升的今天,银行业在经济管理方面可以说在进行着深入地探索,同时建立起各种新的风险管理方式,这促使银行经济资本管理逐渐形成。从经济资本管理的层面进行分析:经济资本管理一般会把机会成本和资本所持有的稀缺性来作为经济运行的根基,有着双效应的显著特征,并且可以在一定程度上提高商业银行的综合管理水平,同时能够把经济资本的作用最大限度上的发挥出来,可以说,经济资本管理可促使商业银行建
金融研究 |
对家庭理财中的保险理财探讨
随着经济的发展,人们生活水平逐渐提升,家庭多余收入不断增加,家庭理财应运而生。古言“天有不测风云”,每个家庭都无法判断可能出现的风险,若是产生灾害,则会威胁到财产安全和人身安全,因此家庭成员应养成科学的理财观,为保护家庭成员生命安全提供保证。本文主要阐述家庭理财中的保险理财,仅供参考。 保险作为社会保障体系和金融体系的组成内容,有着社会管理性、资金通融和经济补偿的性能,能推动和谐社会的发展。目前
金融研究 |
我国职工基本养老保险财务可持续性发展研究
本文探析了十三五规划前我国职工基本养老保险不同发展阶段的制度模式以及十四五规划后我国职工基本养老保险制度发展变革及财务可持续运行导向,有助于更多的人了解我国职工养老保险的演进逻辑及未来可持续性运行方向。 我国职工基本养老保险从1951年开始发展至今,经历了70年的发展历程,从最初传统的以国家保障为主的养老保险制度发展为目前省级统筹、统账结合的社会养老保险制度,参保范围、缴费模式、待遇支付、财务可
金融研究 |
J商业银行财务风险研究
商业银行作为中小企业的主要融资渠道,其发展对我国的企业发展与经济发展都有着极大影响。除此之外,我国的商业银行面临着同行业的竞争,国际环境的变化,地区经济政治环境的变化等复杂的经营背景,在这些复杂环境中把控商业银行的财务风险显得尤为重要。本文围绕J商业银行发展过程中可能面临的财务风险进行研究,从不同的角度剖析了J商业银行在经营管理活动存在的主要财务风险,以及防范风险的具体方法和风险管理措施,强调了防
金融研究 |
准金融机构监管现状、问题及对策初探
随着我国金融监管机制的不断改革和发展,金融法律体系建设的深入以及金融监管力度的加强,使得当今国家监管金融手段多样化对经济市场的控制力得到了提升,国家可以在一定程度上监管金融交易。但是当前金融违法交易、监管不到位的情况仍然存在,所以继续深化金融监管机制改革仍是当下研究讨论的热点问题。与此同时,世界金融市场环境的多变,为国家能够实行有力的金融监管带来了很多干扰。 金融监督管理是政府通过特定机构(通常
金融研究 |
对当前金融企业面临的挑战与管理会计的发展方向进行分析
在以往的10余年内,我国的金融企业有了极大的发展,各个金融企业在我国的市场上不断的深化改革,并且通过转型发展的方式来开展市场竞争和产品创新,不断提高自身的服务水平,使我国的金融生态得到了进一步的完善,并且获得了一定的成效,而在财务管理方面各大金融企业也在不断将价值最大化作为目标,开展有效的信息系统作为基础。而在开展管理工作时,从责任报告、成本分摊以及收入分成等多个方面进行了积极的探索,建立了相应的
金融研究 |
数字时代的金融消费者
金融科技的发展为金融知识普及教育提供了数字化平台和多元化渠道。数字技术凭借其特性,以极低的成本传递着金融信息,给不发达地区的消费者提供了能够与发达地区一样能够接触金融知识的机会。技术创新可以通过金融机构或个人制作的相关短视频和动画,将金融知识包装的兼具知识性和趣味性,通过这种方式让消费者了解金融知识,能够做到覆盖人群广,接受度高,成本相对低廉。由于其灵活、动态和图文化的信息描述方式,数字渠道和新技
金融研究 |
基于RCEP视角的人民币国际化发展路径探析
RCEP有助于提高成员国的投资依存度和贸易依存度。随着东亚区域内经贸关系日益紧密,东亚国家对美国和欧盟的依赖性在一定程度上将会降低,美元、欧元和英镑在亚洲的货币地位也会受其影响,而人民币将会在更大范畴内普及,其在RCEP区域内的货币地位也会有所上升,从而加快人民币国际化进程。在RCEP框架之下,结合全球疫情形势,如何稳妥谨慎地推动人民币国际化,需要着眼于区域经济一体化层次和人民币国际化进程,将RC
金融研究 |
中小型金融机构风险形成的原因分析
中小型金融机构已经发展成为金融市场中的主要组成,对于金融行业的发展具有积极的促进作用。中小型金融机构在实践的发展过程中,还存在着一些风险。本文从中小型金融机构内的风险类型入手,对产生风险的原因进行分析,并提出了有效应用风险的措施。希望更够为更好的促进中小型金融机构的健康发展,提供借鉴。 在改革开放的时代背景中,我国中小型金融机构得到了快速的发展,没在发展规模上不断扩大,已经发展成为金融市场中的重
金融研究 |
证券公司的战略管理管窥
伴随市场经济不断发展,证券市场市场化、规范化程度也呈现提升趋势,不同政策也在不同程度上影响着证券市场以及证券经纪业务。基于上述背景,对于证券公司而言,需要结合实际情况进行相应的战略调整工作,增强自身的生存、发展能力。本文就此对证券公司企业战略管理相关内容进行分析。 本国资本市场处于快速发展转型阶段,对于证券公司而言,需要结合外部以及内部环境,进行相应的战略管理工作,促进业务战略方面市场化、差异化
金融研究 |
新常态下上市公司财务管理创新与实践探讨
随着我国当前社会经济的不断发展,在上市公司日常财务管理工作中,需要创新以往的管理模式,结合当前时代发展方向和面临的发展机遇,创造针对性较强和合理性较强的财务管理模式,从而加强对上市公司资金的多样性控制,防止出现资金浪费问题发生。相关管理人员需要结合上市公司当前的发展现状和战略发展目标,提出有效的财务管理创新策略,从而为上市公司后续发展奠定坚实的基础。 在现代财务管理理论中认为企业加强发展过程中,
金融研究 |
探析上市公司理财热潮持续升温现象
面对近些年来,上市公司对理财越来越重视,随着理财规模的不断增加,质疑声也随之而来。在实际上对激发理财需求量产生的原因是多种多样的,上市公司并非不愿意将资金投向实体企业,将其做大做强,其主要原因在于回避主业的经营压力与风险。只要资金来源合法,决策程序符合规定,并能够对主业进行合理的权衡,上市公司将理财产品作为现金管理的工具也是情理之中的事情,但是如果因过度沉迷理财,只追求简单的理财产品的固定收益,则
金融研究 |
金融生态环境对区域经济增长的影响
站在空间计量的角度上,对于金融生态环境,对区域经济增长的影响进行分析。通过从经济基础,金融发展,以及政府治理情况和社会情况等几个方面来对于金融环境进行考察。能够得知,政府良好的治理和社会环境能够对于区域经济增长具有促进作用。而金融发展则会对区域经济增长产生较小的影响,这种情况是因为金融发展的同时,对于实体经济来说占用比不高,并且会占有一些本实体经济的资源。因此,当前我国的各省区域内金融生态环境正在
金融研究 |
中小企业融资难的深度解析和对策
当前,我国的中小企业融资较为困难,中小企业在发展的过程中可能会遇到资金不足等问题,从而导致企业无法正常的发展。中小企业在我国占有较大的比重,因此,解决中小企业融资难是一个比较重要的问题。但是,因为种种原因,这个问题的解决存在着很多的困难,因此,我国应该不断加大对中小企业融资问题的扶持力度,保证其健康稳定发展。 一、引言 近年来,我国中小企业得到了快速的发展。但是因为融资问题的限制,导致中小企业
金融研究 |
中小企业融资中的问题与对策研究
目前企业基于对利润的需求,金融创新应运而生;同时也催生了一系列新的金融形式,相应增加了多种金融工具。在这种积极的形势之下,作为我国改革开放后发展起来的中小企业,多年来在有多种融资渠道和方式的前提下,仍面临融资难的问题。面对中小企业融资难这种情形,我国中小企业不仅要自立更生,而且更需要政策上和制度上的扶持,只有从融资渠道、融资方式和宏观政策上给予倾斜,才能保障中小企业生存与发展。 一、我国中小企业
金融研究 |
新三板企业转板上市的路径分析
随着我国金融市场的蓬勃发展,多层次的资本市场建设速度加快,其中新三板在多层次资本市场体系中占据着重要的位置。新三板的出现满足了国内部分企业上市融资的需求,推进了金融化进程,但是在我国,新三板制度特别是在企业转板方面还不够健全,很大程度上挫伤了企业挂牌的积极性,不利于新三板市场的可持续发展。本文就新三板企业转板上市的路径进行分析,并以交设股份为案例分析新三板转板存在的问题,进而提出了适合企业转板上市
金融研究 |
地方金融资产管理公司竞争策略研究
当今时代背景下,地方金融资产管理公司(地方AMC)竞争的研究已经成为了业内所重点关注的问题。目前我国的金融不良资产市场机构格局主要为5+2+N,其中地方资产管理公司即为2+N。随着国有大型金融资产管理公司回归主业,其分支机构进一步抢滩地方不良资产市场,地方金融资产管理公司面临着激烈的竞争。同时,地方金融资产管理公司作为防范化解区域金融风险的重要力量被社会所公认,而其要想在竞争激烈的市场竞争中占有一
金融研究 |
国有金融资本管理改革
我国在全面实行国有金融资本改革实施后,大多数企业在金融市场上得到了全面的发展。大部分企业的资产和负债,以及利润等规模实现了拓展。多数国家在国有资本改革下,进入了全面的资本市场,大部分企业也因此实现了上市操作。风控体系的完善有利于市场经济核心要素的完善,金融资本也有利于推动企业发展,有利于资本实现有效运转,对经济的长期稳健发展起到了推动作用。金融资本有利于我国实体经济实现快速增长,产融相结合实现了金
金融研究 |
金融支持陕西丝绸之路经济带建设的探讨
建设丝绸之路经济带是建设开放型经济的重大战略举措,有利于实现经济均衡发展以及推动经济互利模式的形成。陕西作为丝绸之路经济带的“腹心”和丝绸之路的起点,在经济带建设中起着不可或缺的作用。各国经验表明,现代经济增长的背后,金融发展是其重要的支持条件。丝绸之路经济带背景下,分析金融支持现状、问题原因、相应对策,对推进陕西丝绸之路经济带建设很有必要。 目前陕西金融发展能力有所提高,传统银行保障性更强,新
金融研究 |
浅析控股股东股权质押行为
近年来,我国股权质押相关政策逐渐完善,股权质押成为股东融资的重要方式之一。股权质押对于控股股东而言,限制少、要求低、影响小,但控股股东在股权质押获得资金的同时,给各方利益相关者带来了风险。因此,怎样降低风险实现多方共赢的研究具有现实意义。本文从六个方面分析控股股东股权质押行为,分别为相关概念的介绍,我国股权质押的现状,控股股东股权质押的动机,控股股东股权质押的经济后果,对策建议以及结论六个方面进行
金融研究 |
金融开放对货币政策有效性影响的研究
金融开放加深了国内金融市场与国际金融市场之间的联系,使国内金融市场不仅受到宏观经济政策的调控,也会受到国际金融市场的影响。因此,本文主要研究金融开放是否会降低中央银行对我国宏观经济的调控能力,既金融开放对货币政策有效性的影响。本文选取了2000-2007年30个国家的面板数据,结果发现金融开放可以促进一国的经济增长,维护物价的稳定,但金融开放对货币政策的产出效应和价格效应均有所削弱。 一、引言
经营管理 |
工商管理培训对企业管理水平提高的作用研究
现代企业想要提高企业经济效益,就需要加强工商管理培训,提高企业现代化管理能力,优化人才结构,从而推动企业自身建设发展,提高企业核心竞争力。文本通过阐述企业工商管理人才现状及加强工商管理培训对企业的意义,分析企业可以通过重视工商管理培训工作,强化工商管理培训方式与内容,健全工商管理培训体系等方式,提高企业工商管理培训效果,为企业经营发展培养高素质管理人才,希望可以为企业工商管理培训提供理论参考。
经营管理 |
文化对市场营销和广告策划的影响
随着社会的发展,人均经济水平的提升,文化在人们的生活中占据着越来越重要的位置。习近平总书记在十四五会议上指出“没有社会主义文化繁荣发展,就没有社会主义现代化”,会上他强调要推动优秀传统文化的创造性转化以及创新性发展,这为众多产品在市场上的推广营销带来了启发。本文首先介绍了市场营销与广告策划的概念、构成要素及特点,分析了文化与二者间的关联,并就文化对二者的具体影响展开分析,以供借鉴。 广告策划与市
经营管理 |
新形势下企业经济管理创新的分析
本文将在“新形势下企业经济管理创新的分析”这一主题下,结合当前市场经济环境和企业自身的特点等等方面,浅析经济管理创新对于新形势下的企业发展的独特作用,以及给出大体的企业经济管理创新方法方案,并进一步分析经济管理创新为企业自身各个方面带来的收益,并简单提及管理创新对于整个经济市场的影响和作用。 随着时代不断地飞速发展,科技也不断在进步,全球的经济发展都在新时代迎来了新气象。企业作为我国市场经济活动
经营管理 |
新时期企业市场营销模式创新分析
市场营销是企业经营过程中一项非常重要的工作,市场营销是市场开发的过程,通过营销工作,可以建立起业务合作关系,让企业的业务形成相应的规模。对于钢铁制造企业来讲,属于传统制造行业,市场营销工作面临着一些新的形势。基于此,本文就针对市场营销及当前的发展形势展开论述,然后反思钢铁企业在市场营销中存在的不足,最后提出创新市场营销的方法策略,指出要构建互联网+营销的新模式,要推进供应链营销建设,在切实摆脱传统
经营管理 |
建筑施工企业内部控制的问题及对策
经济社会的不断发展与人民生活水平的提高,给建筑施工企业的快速发展创造了条件,但是在企业的经营管理中,由于其管理粗放、员工业务水平良莠不齐,出现了一系列的内部控制问题,对企业发展造成了一定的风险,因此,通过合理的内部控制手段对企业的经营活动进行一系列的控制,对于建筑企业来说尤为重要。本文在分析内部控制的定义及相关特点的前提下,针对建筑施工企业的经营特点提出合理的建议措施,以求促进建筑施工企业稳定发展
经营管理 |
探讨市场营销理论与运用实际脱节的原因
随着信息更新速度加快,知识体系的更新难以跟上社会发展脚步,导致很多学科理论和现实运用脱节。这其中市场营销理论和运用实际脱节现象尤为明显。如何保证市场营销理论和运用实际结合,提高教学效率,已经成为各大营销类高校或者营销类专业要面对的问题。本论文从我国教学模式、知识理论体系更新、教师教学方法、社会人才需求四个层面来解析市场营销理论与运用实际脱离的原因。 我国教育改革不断深入,但仍然以应试教育为主,导
经营管理 |
PDCA循环管理法在公立医院经济合同审计中的运用探讨
随着经济运行进程的加快,市场经济水平有了明显提升,合同管理也有了明显改变,从以往法律层面转变为了项目管理方面,合同管理在医院运营期间起着极高的作用。对于公立医院来讲,要想实现稳定发展的目标,关键在于做好经济合同管理工作,其中,公立医院内的经济合同包含了多方面,具体表现为初期采购、经营以及后期完工等,对此,强化公立医院经济合同管理力度极为重要,既有利于提高管理效率,还可以将经济效益发挥到最大化。在本
经营管理 |
国有企业专利管理中面临的问题与应对策略
知识经济时代,国有企业专利保护意识得到提升并制定了相应的专利管理的规章制度,但是国有企业在专利管理过程中主要存在如下问题:缺乏系统性专利发展战略、欠缺相关的人才管理机构、人才激励制度的激励性不足。导致上述问题的原因在于未能正确处理小格局与大格局、普遍性与特殊性、务虚与务实的关系。面对国有企业专利管理中存在的问题,应当不断提升专利管理的水平,制定可持续的专利发展战略,设立专门的科研人才管理机构,改进
经营管理 |
连锁酒店成本控制管理研究
成本控制管理是酒店发展的基础,因此需要从酒店内部出发,利用方法减低成本费用,完善成本控制体系,给顾客提供高质量的服务提高核心竞争力,酒店企业才能在市场环境中脱颖而出。 本文以小蓝鲸酒店为研究对象,从小蓝鲸酒店成本管理入手结合成本控制理论和方法研究,根据小蓝鲸酒店现状通过对酒店成本控制分析,发现小蓝鲸酒店成本控制中所存在的问题并对其问题分析,最后针对其出现的问题,提出对小蓝鲸酒店成本控制优化管理的
经营管理 |
基于蚁群算法的配送路径优化研究
随着信息技术的进步,电子商务也在迅速发展,当前制约电子商务发展的关键问题是物流配送成本过高、配送效率过低。合理的配送路径可以更好的缩减企业的成本,提高服务质量,因此对于电商企业配送路径优化的研究具有很大的价值。本文针对某电商企业,对路径优化问题展开了讨论。首先建立VRP模型,提出利用蚁群算法对VRP问题进行求解,借助MATLAB软件进行仿真实验,实例分析结果发现优化后的方案缩短了配送路径,减少了配
经营管理 |
企业存货内部控制存在的问题与对策分析
存货内部控制作为企业资产管理的一项重要内容,关乎着企业的盈利水平。本文先简要介绍了存货内部控制的含义和重要性,随后分析了企业存货内部控制存在的主要问题,在剖析原因的基础上,最后提出相应的对策建议,以改善企业存货内部控制,提高企业经济效益。 一、引言 对于不少企业而言,存货作为企业的一项重要的资产,不仅品种多、数量大、金额高,而且可能存放地点多、价值变化较快,存货短缺、毁损、贬值的风险相对较高,
经营管理 |
企业固定资产内部控制存在的问题与对策研究
固定资产内部控制作为企业资产管理的一项重要内容,直接关系到企业的盈利水平和竞争能力,本文在分析固定资产内部控制含义与目标的基础上,指出企业固定资产内部控制存在的主要问题,包括固定资产内部控制制度不健全,固定资产利用效率不高,固定资产维护保养不及时,固定资产核算不够准确,固定资产内部监控不严等,最后提出相应的对策建议,如建立健全固定资产内部控制制度,加强固定资产购置的可行性分析,强化固定资产的维护保
经营管理 |
浅谈河北某药业品牌营销渠道策略
随着中国经济的快速发展和人民生活水平的不断提高,人们越来越关注自身的健康,药品销售量不断上升,推动了我国制药业的高速发展。在此背景下,制药业的竞争愈加激烈,更多的公司逐渐意识到品牌的营销渠道对于公司的重要性。本文通过分析河北某药业品牌的营销渠道现状,发现其在营销渠道中存在的问题,提出相应的品牌营销渠道优化策略,以提高公司竞争力和销售额,在激烈的市场竞争中占据一定的市场份额。 一、引言 近年来,
经营管理 |
机关和事业单位改革国有资产管理操作办法探讨
机关和事业单位作为国家拨款设立的组织,具有履行相应职能的社会责任,高效进行单位的国有资产管理有利于单位职能的执行。本文通过对相关文献进行查阅,总结了当前机关和事业单位改革国资管理过程中存在的问题并提出了对应的解决策略,包括强化意识、健全制度、完善执行和新管理手段的引进。希望能为改革提供一定的理论参考价值。 在市场经济和信息化技术蓬勃发展的今天,部分国家机关和事业单位在对国有资产进行管理的过程中存
经营管理 |
企业内部控制管理的研究
随着经济的不断发展,企业的财务管理质量也得到了显著地提升。虽然企业的内部控制质量在不断的提升,但是仍然有一些做的不够好的地方,这些不足会给企业的财务管理造成一些不好的影响。在此背景下,为了分析企业财务管理中的内部控制的一些不足与欠缺,本文针对当前企业内部控制中存在的问题,然后根据这些问题,提出了完善企业内部控制的一些对策,希望对相关的研究人员有一定的帮助。 内部控制在企业的治理中是比较重要的,因
经营管理 |
面向组织创新的领导力理论与实证研究
在全球经济一体化的背景下,行业之间的竞争愈发激烈,任何一个企业若想在诡谲多变的市场竞争中占据一席之地,就必须拥有核心技术,用最低的成本创造出最大的价值。企业的领导者是掌握企业关键性资源的重要人物,他们的决策在一定程度上影响着企业的生存与发展,所以在商业环境中,组织者的领导力与创新力是一个企业生存发展的基石。本文将对基于组织创新的领导力理论进行深入的分析,在企业的创新发展中,识别出有关领导力的抑制性
云时代 |
互联网+背景下的大学生电商创业分析
互联网+背景下,信息技术为大学生电商创业工作提供了新的契机,针对高校教育工作而言,这是一项挑战,更是机遇。当学生接受的信息愈加多元化,如若不恰当引导,不利于大学生日后健康发展。文章基于互联网+背景下,首先简要地介绍了网络对大学生电商创业的影响,接着从四个方面提出了一些有效的指导策略,以期为高校电商专业教师教学提供参考。 互联网+背景下,创业课程是大学生的必须课程,对学生未来就业方向有着长远影响,
云时代 |
大数据环境下电商直播行业风险防范途径优化
电商直播行业是“电商+直播”的结合体,作为近些年来兴起的风口行业,其风险防范途径还存在诸多不足。在此基础上,结合大数据背景,提出更适合现在以至将来电商直播行业发展的风险防范措施,进而推动行业蓬勃发展。 一、引言 自2012年大数据时代的兴起,网络信息成爆发式增长和联结。电子商务平台作为一个为企业或个人提供完整销售和支付渠道、进行线上交易洽谈的平台,大数据无疑是电商平台强有力的依靠。近年来,电商
云时代 |
基于“互联网+”时代的农产品营销与农业经济发展分析
如今信息化建设越来越迅猛便捷,互联网成为创新最活跃生活最广泛影响最深刻的领域,跨界融合为特征的互联网+已经成为不可阻挡的时代潮流,对经济发展形成战略性和全局性的影响,把握时代机遇,是农业经济实现弯道不断超车的重要方式,有效促进农业经济长久发展。 随着互联网技术在社会生活中的广泛渗透,中国农业经济也走进了互联网时代,上一个时代农民动手勤劳务农,中国经历改革开放以来中国建立了多个功成伟业,推动了经济
云时代 |
意见领袖对社交电商消费者购买意愿的影响研究
随着互联网技术的发展与进步,电子商务业态下衍生了多种形式,网络购物已经逐渐融入到消费者的生活之中。根据第47次《中国互联网络发展状况统计报告》显示,截至2020年12月,我国互联网普及率为70.4%,网民规模达到9.89亿。在庞大的互联网用户规模下,社交电商得到了飞速发展。社交电商实际是指通过互联网分享购物经验以及推荐性价比高的优质商品,它的重点在于社交和电商,是属于分享经济。意见领袖通过自身特质
云时代 |
基于旅游电商为核心的旅游服务供应链协调思考
随着目前的社会经济在迅速的增长,社会也在飞速发展,人们精神方面的需求发生了极大的改变,因这就让旅游行业的经济变得非常旺盛,旅游业也逐渐成为了世界的焦点,受到了各个领域的广泛关注,随着时代在不断的发展,中国的旅游业也发生了很大的改变,在线旅游受到了人们的普遍关注,让旅行舍在人们的选择当中变得非常具有劣势,旅游电商甚至已经逐渐成为了旅游服务供应链当中的核心,旅游电商企业的扩张,使服务质量下降的情况变得
云时代 |
基于STEPPS法则分析抖音的病毒营销
宾夕法尼亚大学沃顿商学院教授乔纳·博格(Jonah Berger)的《疯传:让你的产品、思想、行为像病毒一样入侵》一书中总结了让事物疯传的STEPPS六原则,分别是社交货币(Social currency)、诱因(Triggers)、情绪(Emotion)、公共性(Public)、实用价值(Practical value)和故事(Stories)。本文将通过这六大法则分析抖音的病毒营销,并为自媒体
云时代 |
共享中心数字化转型探索与实践研究
数字化转型是建设世界一流共享中心的必然途径,也是共享中心高质量发展的内在需要。本文在充分调研分析中国石油集团共享运营有限公司(以下简称“中油共享”)数字化转型探索实践的基础上,提出共享中心数字化转型的方法路径、具体举措和取得成效,有利于推动共享数字化产品、数字化研究、数字化管理和数字化产业协同发展,建设数字共享格局,服务于运营管理决策,助力企业实现高质量、高效率、低成本发展。 数字经济作为引领未
云时代 |
视觉营销对提升网店销量的影响
本文深入分析了视觉营销对提升网店销量的影响,对有助于品牌价值和文化传播、提高顾客对品牌认知程度、让店铺形象在同行业中脱颖而出,激发消费者购买欲望,提高顾客的忠诚度和复购率等,提出几点切实可行的措施,如提高对视觉营销认知水平、巧用构图表现视觉焦点、丰富视觉营销的内容和形式、注重视觉营销的页面布局,通过以上措施,使得网店的销量逐渐的提高。 在当今社会,随着互联网不断发展,网上购物已然成为人们必不可少
云时代 |
网络经济时代个人金融安全隐患探究及防范
一、网络经济时代的内涵与特点 (一)网络经济时代的内涵 世界通过信息技术的发展,成为了一个小小的“地球村”,不仅信息能够飞速传递,知识也能够迅速得到普及,也在普及过程中得以升华,使得理论性的成果能够以前所未有的速度投入生产并转变为真正的技术。从知识的转变可以看出,在未来很长的人类社会发展过程中,社会的进步离不开互联网技术,而网络经济时代也是应运而生。 网络经济时代的核心就是现代信息技术,这种
财政财务 |
财务会计与管理会计的有机融合与创新发展
随着经济的发展,会计是企业不可或缺的重要岗位,对企业的发展起着至关重要的作用。伴随着企业的发展,对会计的要求也越来越高,传统的财务会计很难适应现代企业的要求。因此,文章着重分析了财务会计在发展过程中的不足之处,并对如何更好地融入管理会计进行了探讨。 近年来,在促进社会经济发展方面,我国的经济发展面临着严峻的挑战。会计是企业的核心,为适应现代企业快速发展的需要,在新形势下,不仅要体现会计的价值,而
财政财务 |
民营企业会计基础工作规范化策略分析
民营企业的发展需要有会计工作的动力支撑,但是确保企业内部运营稳步落实的重点,同时也是保证企业持续发展的根脉,民营企业会计工作既有一定的基础,对会计人员综合素质要求较高,其在岗位中应规范化管理,逐步提高财会工作效率。文章主要针对民营企业会计基础工作规范化管理的策略相关课题进行分析,做出了如下阐述。 民营企业的发展过程中,应重视会计这一基础性工作,在稳扎稳打的基础上,不断提高会计管理水平,为民营企业
财政财务 |
大数据时代集团企业资金集中管理模式优化研究
大数据在建筑行业市场所发挥的作用举足轻重,是建筑产业走可持续发展道路的必然选择。客观来说,当前阶段,集团企业普遍采用统收统支、资金结算中心以及内部银行等集中资金管理模式,在大数据时代背景下各有春秋。但是,结合建筑施工单位资金集中管理模式而言,其还具有较大的优化空间。基于此,本文将对几种常见的企业资金集中管理模式进行简要介绍,同时结合具体问题阐述资金集中管理模式优化策略。 当今大数据时代背景下,若
财政财务 |
新政府会计制度核算平行记账关键问题应用解析
平行记账是政府部门贯彻并落实我们国家财政政策的一种主要方式,对政府会计工作人员来说,平行记账属于一种比较新型的产物。加强平行记账的管理主要是为了实现新政府财务会计制度系统和预算会计系统二者之间的密切配合,从而保证财务资金核算的更加准确,同样的,在规范政府的财务核算方面也起到非常关键的作用。因此,本文就来分析新政府会计制度核算平行记账关键问题应用解析,以此来提升相关企事业单位的自身财务管理水平。
财政财务 |
新政府会计制度下高校固定资产核算研究
自高校2019年1月1日起施行《政府会计制度》后,对高校固定资产新增、处置、计提折旧等方面提出了新的规定,使高校固定资产的会计核算科目、核算方法发生了改变,使之更加真实、客观地反映高校固定资产的现状。本文通过阐述固定资产修订前后固定资产定义、固定资产折旧计提方法、固定资产管理方式比较,提出健全高校固定资产的内部控制体系、完善高校固定资产的管理模式、提升高校财务人员的专业能力等策略,为高校规范固定资
财政财务 |
房地产企业实施全面预算的有效路径分析
在房地产企业财务管理工作中,全面预算管理始终都是不可或缺的内容,要想使得财务管理效率得到根本性的提升,那么也就需要加强全面预算实施的水平力。从目前情况来看,房地产企业的全面预算工作还存在明显的问题,比如全面预算意识不够强以及收入支出不平等的问题,如果不能采取科学合理的措施加以处理,那么必定会导致房地产企业全面预算水平下降的问题。本文接下来首先分析提高预算管理水平的意义,然后反思存在的问题,并提出一
财政财务 |
商业地产轻资产运营模式下财务管理存在的问题及对策
随着国家对房地产业政策管控的不断加强,商业地产采用“轻资产”模式运营正受到越来越多企业的青睐。本文通过分析轻资产运营的多种模式,对各模式下财务管理问题进行研究,希望帮助商业地产运营企业认识到积极运用财务管控对策、发挥财务管理职能对管理能力提升、财务管理规范化产生的积极作用,以财务视角更好地提出运营规划建议。 一、引言 传统商业地产一般经过投资、开发、规划、设计、建设、交付、运营的完整环节,重资
财政财务 |
云技术的财务管理数字化转型在小微企业中的应用分析
在当今大数据的背景下,企业的信息化进程加快,企业财务管理工作中越来越多的数字化概念和技术被创造出来,企业财务管理质量得到了提高。我国小微企业众多,但信息化建设相对滞后,企业管理模式相对传统,缺乏财务管理人才,企业的信息化和数字化感知普遍缺乏,导致小微企业在财务数字化方面仍然存在许多问题和局限性,阻碍了小微企业的财务管理水平。本文从云技术的财务管理数字化转型的角度分析了我国小微企业财务数字化中存在的
财政财务 |
关于资产减值在会计实务操作中的若干问题的探讨
随着我国社会经济逐渐与国际经济接轨,中国特色社会主义市场经济发展迅猛,这也使得我国经济环境等各种不稳定因素和金融风险在不断扩大,给会计工作开展带来巨大挑战,资产减值也逐渐受到整个会计领域的重点关注。只有针对企业资产减值工作进行进一步完善,这样才能直观地反映出企业资产减值实际状况。本文主要针对资产减值在会计实务操作中的相关问题进行探讨。 所谓资产减值主要指的是企业资产可回收金额低于账面价格的现象。
财政财务 |
企业会计财务管理的风险及管控措施研究
新时代的社会主义市场经济保持稳健向上的发展态势,人们对企业发展的关注不断提高。财务管理是企业极为重要的工作环节,是企业的立足之本。但是,由于一些企业会计财务管理中存在的问题与不足,导致了不少风险隐患存在。为此,要加强企业会计财务管理的风险管控,为企业健康可持续发展助力。本文明确了企业会计财务管理的重要性,归纳了可能的风险隐患及造成风险隐患的原因,并提出了相应的管控措施。 随着社会经济的发展与深化
财政财务 |
会计信息化对企业财务管理的影响及对策探究
企业财务风险管理与控制的重要举措之一就是会计信息化。会计信息化将传统会计与信息化技术融合在一起,通过先进的信息技术改进并优化企业会计工作,有效提升企业会计效率与质量,是现代企业管理的重要进步。本文在阐述会计信息化概念及特点的基础上,归纳了会计信息化对企业财务管理的积极影响与挑战,探讨了会计信息化环境下企业财务管理的优化对策。 在信息技术迅猛发展的21世纪,会计信息化成为企业财务管理发展的重要新方
财政财务 |
探讨财务风险防范视角下企业战略预算管理的优化
伴随社会和经济的持续性发展,以及市场经济环境的持续多变性,各级企业正在不断创新并优化自身的内部管理模式,以便于在持续发展的过程中,通过提高财务与经营管理水平,减少或规避财务或经营风险,积极促进企业的健康发展。企业在执行战略预算管理期间,时时都会面临各式各样的财务风险,而企业在提高自身核心竞争力的同时也需要借助于财务风险防范体系,细致化分析企业战略预算管理,并从财务风险防范的视角下,提出预防或解决财
财政财务 |
企业财务管理中税务筹划的应用及相关问题探讨
在当前的经济发展背景下,我国经济呈现出明显的多元化,进而为企业的发展奠定良好的基础,创造了强有力的发展条件,以保证企业稳定的发展。基于此,本文从税务筹划管理的概念入手,深入开展分析,目的在于探索税收筹划管理过程中存在的误区,总结现阶段企业财务管理中税务筹划常见的问题,针对问题提出合理的发展策略,以供参考。 现阶段在发展过程中,企业财务管理逐渐成为人们关注的重点,尤其是与现阶段利润分配、投资管理、
财政财务 |
企业财务管理中业财融合问题及应对策略研究
在当前市场多元化背景下,企业在发展过程想要提升自身的竞争实力,必须不断的开展创新,完善现阶段的发展模式,推动自身转型,实现业财融合一体化,为企业的正常运转奠定良好的基础。基于此,本文从现阶段的企业财务管理与业财融合概念入手,深入开展分析,明确业财融合过程中存在的问题,针对性提出合理的发展策略,以供参考。 现阶段在发展过程中,企业逐渐加强对业财融合的重视力度,并从多个角度进行分析,明确其价值与优势
财政财务 |
基于企业财务会计内部控制的优化路径研究
现代化企业的发展中,企业财务会计内部控制工作对于企业的经济效益起着决定性的作用,特别是在面临着激烈的市场竞争,企业更要对财务会计内部控制工作展开优化探索,提高内部财务控制工作的有效性,管控企业的运营资产等各项内容。本文对企业财务会计内部控制工作的重要性进行探讨,分析了企业财务会计内部控制的优化路径。 现代化社会经济快速发展,企业的财务会计内部控制工作迎来了更严峻的新挑战,企业要加强对财务会计内部
财政财务 |
如何完善企业财务内控监督机制的建设
随着世界经济一体化及经贸形势的严峻性,使得我国企业之间竞争开始加剧,特别是复杂的市场经济环境中,企业要想在进一步发展就必须高度重视企业内控监督机制,建立科学的财会内控监督机制使企业完善内控监督的重要手段。企业要想提升自身核心竞争实力,必须保障内在经济效益的增长,这需要借助于内部监督管控体系,需要借助当前实际发展现状,积极开拓出内部监督的相关体系内容,只有持续稳健化发展才能更长久。本文从企业内部监督
财政财务 |
大数据背景下的企业财税管理措施研究
随着网络信息技术的不断更新,大数据技术应运而生,且应用优势凸显,受到了当前许多行业的广泛应用。而企业财税管理作为企业财务管理中的重要组成部分,其涉及企业许多重要的数据信息,通过对其的合理化管理,既能避免企业出现大量的经济损失,而且还能挖掘出数据所具备的潜在商业价值。尤其是在当前大数据背景下,做好企业的财税管理工作就显得更为重要。因此,就应及时分析当前企业财税管理所存在的问题,并采取针对性的解决措施
财政财务 |
大数据时代会计信息化建设研究
随着信息技术的快速发展,互联网得到了普及,大数据时代随之而来。在此背景下,我国市场经济发展面临的机遇越来越多,同时挑战也随之增加。现阶段传统的会计财务管理模式,已经无法满足市场经济发展的需求,企业必须要进行创新,合理地利用大数据优势完善自身的会计工作,构建会计信息化模式,加快财务工作的效率,从而促进企业的稳定发展。本文将简单分析大数据时代会计信息化建设研究。 随着大数据时代的到来,不仅加快了经济
财政财务 |
业财融合促进企业成本管控的实践探究
对于企业的业务运转来看,离不开财务管理工作人员的支持,这样才能确保资金支持,可以满足业务流转,而对于财务运转来看,业务部门的业绩提升才能够保证企业的长期发展,所以只有通过二者的有效融合来实现对动态信息的获取,进而才能保证通过合理分配以及严格管理来实现满足各项业务流程的运转,以此才能维护企业的经济利益。基于此,对于企业成本控制管理工作开展来看,实现对业财融合的有效应用,能够确保企业的可持续发展道路更
财政财务 |
建筑施工企业财务预算管理问题及改进措施
随着近年来我国社会发展和进步,我国在基建行业取得了较大的成就,同时也促进了我国建筑企业的发展和进步。在建筑企业不断发展的过程中,财务管理问题显得尤为重要,财务管理不当,极易引发建筑企业财务风险等一系列问题,给企业的发展和进步带来一定的负面影响,例如建筑施工企业财务预算管理问题。伴随时代发展和进步,各行各业都在进行着创新,同时市场经济也趋向与成熟与规范化,在这个背景下,传统的建筑企业财务预算管理模式
财政财务 |
基于区块链的会计管理信息系统分析
会计是对经济活动的核算、监督的一种管理工作,在信息化技术的支撑下,会计工作也从原有的人工记账模式,向自动化、智能化方向所转变,提高数据监测精度,为企业发展提供数据支撑。基于此,文章以区块链技术为切入点,阐述区块链技术与会计管理信息系统的融合价值,并对会计管理信息系统的构建模式进行研究。 近年来,在区块链技术的研发及应用下,利用数据信息真正实现唯一性的传输,极大限度提高数据信息在运行过程中的精确性
财政财务 |
论物流企业全面预算管理问题及对策
随着市场经济的不断发展,物流行业也蓬勃发展,并成为我国经济发展中的重要组成部分。与此同时,也使得物流企业之间的竞争愈发激烈,物流企业若仍然保留传统的单维管理模式,并不利于企业竞争力的提升,也不利于企业长远可持续发展。基于此,本文从全面预算管理的角度出发,分析物流企业实施全面预算管理的意义,然后针对物流企业全面预算管理面临的主要问题提出几点对策,以供参考。 全面预算管理作为一种新的管理控制方法,主
财政财务 |
互联网企业并购中的财务风险及对策研究
为了适应不断变化的经济市场,想要通过实施并购活动来扩展新的市场,提高竞争力的企业数量飞速增长。本文结合互联网行业的特征,对阿里巴巴并购优酷土豆过程中存在的财务风险进行研究,并对于这些风险提出的相应的对策进行了分析。本文希望可以通过对阿里巴巴并购优酷土豆这一典型案例分析,为想要实施并购的企业提供一定的参考价值,尽可能降低在过程中可能发生的财务风险,增强企业在本行业中的竞争优势。 一、互联网企业并购
财政财务 |
电子商务企业审计风险及对策分析
随着互联网经济的飞速发展,电子商务企业应运而生,与传统企业相比,无论是它的经营模式还是企业管理都做出了较大的创新和改变,为人们带来了许多便利,也更为人们青睐,逐渐成为诸多人群消费的首选。但正是由于电商企业经营模式上的创新,导致其会计方法的选择和会计信息的处理上都存在特殊之处,传统的审计方法对于这些企业逐渐不再适用,这就对审计人员们提出了更高的要求,在传统企业审计的基础上加以创新,以满足电商企业的审
财政财务 |
会计核算在企业财务管理中的运用
当前市场竞争激烈,市场经济日益也在发生着巨大的变化,要想在经济全球化的背景条件下企业占领一席之地,就必须要针对企业的资金问题进行一些有效的改善。会计核算必须要真正反映企业的经营效果,提高企业的财务管理效率和质量水平,就要不断强化企业财务管理的会计核算步骤,重视会计核算在企业财务管理中的运用。我们分析了我国企业会计核算中目前存在的缺陷和不足,并针对存在的问题提出了会计核算中的一些改善措施,希望能够给
财政财务 |
浅析管理会计在行政事业单位中的应用
绝大数企事业单位在生产、经营及管理过程中都会应用各种会计专业技能,这使得管理会计成为了很多企事业单位尤其是行政事业单位的主要工作岗位,基本每个行政事业单位都设置了管理会计岗位,由此可见管理会计对于行政事业单位的重要性。管理会计的应用还能够提高行政事业单位管理水平,并完善相应的财务管理体系,更对行政事业单位健康可持续发展起到了积极作用,所以在行政事业单位中有效应用管理会计是非常必要和重要的,理应得到
财政财务 |
新时代企业财务会计与管理会计的融合路径研究
随着经济全球化浪潮的不断发展,我国企业要想在全球企业竞争中取得优势,需要革新企业经营模式,推动我国企业财务会计和管理会计的融合发展。新时代企业财务会计和管理会计的融合具有现实意义,有利于推动企业核心竞争力的提高,为企业的经营管理活动提供依据。在保证企业正常经营的前提下,满足其快速发展的要求。接下来将重点探讨新时代下企业财务会计与管理会计的融合优势、当前的融合现状及融合路径。 新时代背景下,企业发
财政财务 |
财税政策在企业经营决策中的应用问题研究
将财务分析与管控运用到企业的经营决策中,既是一项系统性的本职工作,也是提高企业经营决策质量与效力的有效方法。本文以钢铁企业为例,介绍了基于财税政策的分析与管控对于企业经营决策的现实意义,即通过对财务权责的合理分配,围绕财税政策,响应其调控政策的导向,据此构建一套“以财税政策为切入点参与企业经营决策的工作体系”,以期有效的提高企业经营决策的前瞻性,进而达成企业持续发展的战略目标。 一、基于财税政策
财政财务 |
集团企业“财务共享中心”的构建及发展探究
在全球经济一体化和新一轮的信息化组成的背景下,我国集团企业不断加强全球化布局和积极实施全球化战略。与此同时,财务转型战略开展过程中也遇到了全新挑战,因此急需探索一条更契合我国集团企业的财务管理之路,财务共享中心管理模式成为了大势所趋。本文阐述A公司在实施财务转型战略过程采用构建财务共享中心这一模式的动因和具体构建过程,根据当前的经济环境和A公司的发展现状,提出A公司的财务共享中心发展的建议,旨在为
财政财务 |
全过程跟踪审计在公立医院基建项目中的应用
基建项目全过程跟踪审计是现代审计制度的创新。随着我国医疗事业的发展,公立医院基建项目不断增多。医院基建项目具有投资大、控制环节多等特点。近年来政府部门对公立医院基建项目投资逐年增加,一些大型医院开展基建工程跟踪审计,但缺乏统一规定,如何加强医院间项目审计力度,避免事后审计被动状态是医院管理者面临的新课题。文章通过跟踪审计在医院基建项目中的应用城西,总结公立医院基建项目全过程跟踪审计主要内容,针对跟
财政财务 |
财务管理目标的理论分析与现实选择
一个企业财务管理活动的总体方向以及财务管理活动的最终结果主要取决于该企业是否制定了合理的财务管理目标。基于企业财务管理目标的显著特征, 按照不同的标准,划分了利润最大化、股东财富最大化、企业价值最大化和相关者利益最大化的财务管理目标,这些目标越来越科学合理, 本文并且据此提出了财务管理目标的现实选择。 随着经济的发展与市场的开放,投资者创立企业的本质更多的是为了追求所谓的经济财富,其中最关键的是
财政财务 |
“双高”建设下高职院校财务转型的思考
近年,教育部提出建设高水平院校和高水平专业的计划,深化“双高”建设的实施。面对新形势新任务,高职院校财务管理工作迎来了新的挑战。本文对“双高”建设下高职院校财务转型工作进行了研究,在分析“双高”建设对财务管理工作提出要求的基础上,思索了高职院校财务管理工作转型的方向,为今后高职院校财务工作指明了新方向。 自 2019 年 3月,教育部发布《关于实施中国特色高水平高职学校和专业建设计划的意见》,明
财政财务 |
财务共享服务研究综述
近些年,我国的集团公司开始搭建起了自己的财务共享服务平台,针对财务共享的研究也越来越多。在“大智移云”的背景下,企业不断做出改变,财务共享服务落地应用迫切需要先进的财务共享理论作为理论支撑。本文将在现有的文献的基础上,从财务共享服务理论与在大智移云背景下的财务共享服务研究两个方面对财务共享服务研究进行梳理和总结,为进一步探索财务共享服务的理论与实践打下良好基础。 随着经济的迅猛发展,传统的财务流
财政财务 |
关于部门预算的财政支出事前绩效评价分析
在部门预算管理的过程中,财政支出事前绩效评价占据重要位置。这一环节处理的好坏对最终决策的正确与否具有重要的影响。财政支出事前绩效评价关系着事前规划的科学性程度、制定方案的可行性程度和预算目标与结果的合理性程度等。健全的财政支出事前绩效评价机制可以有效的对财政风险进行评估。本文立足于部门预算的财政支出事前绩效评价,简要概述了其内涵和相关理论知识,详细分析了当前部门预算的财政支出事前绩效评价体系存在的
财政财务 |
谈基层财政审计
近年来,随着我国经济社会的发展,基层财政审计的工作已经发生了翻天覆地的变化,导致基层财政审计人员对自身的定位不准确,出现了审计不严的现象。本文论述了财政审计执法的内涵,指出财政改革走势对财政审计的影响,提出当前基层财政审计面临的问题,指出在基层财政审计出现问题的对策,以供大家参考。 现在基层财政审计工作在新形势下出现了新的问题,需要审计部门管理者加以解决,这样就对审计部门提出了更高的要求,要求审
财政财务 |
关于加强事业单位预算绩效管理工作的思考
在当今的我国的形势下,预算绩效管理工作的有效进行对于事业单位的未来发展具有非常重要的作用,相关政府也在对公共财政体系和财政预算管理进行不断地更新调整,从而推动事业单位预算绩效管理工作的顺利进行。但是,目前相关的工作者进行预算绩效管理工作时,也会遇到一些问题,只有对出现的问题提出有针对性的对策,才可以促进事业单位的长久发展。本篇文章主要从预算绩效管理工作对于事业单位发展的的意义、相关工作人员遇到的问
财政财务 |
行政单位预算执行内部控制风险防范研究
预算业务是行政单位运行的重要环节,关乎国计民生的支出。目前,我国行政单位的预算执行过程中存在诸多问题,观念和方法都较为落后,效率十分低下,未有效发挥其应有的资金硬约束作用,通过对H市民政局预算执行内部控制风险进行深入研究,有助于丰富行政单位预算业务内部控制这一领域的研究内容,拓宽行政单位预算业务内部控制的研究视角,对行政单位预算执行内部控制的理论研究提供案例参考。 一、引言 目前,我国企业内部
财政财务 |
加强中小企业财务会计管理工作的策略试析
相比于大型企业,中小型企业需要面临着更大的生存压力。尽管经济全球化使得中小企业有了更大的发展空间,但同时他们也承受着越来越大的竞争压力。在我国经济发展的过程当中,中小企业财务会计管理工作上存在的缺陷和漏洞也逐一暴露出来,有些问题很可能关系到企业的生死存亡,所以企业应采取相应的手段加强企业内部的财务会计管理工作。 一、中小企业的概述 之所以叫中小企业,是由于这些企业的规模相对较小,这些企业和微型
财政财务 |
浅谈新政府会计制度下事业单位的经营管理
新经济时代下,新政府会计制度得到事业单位的重视,不断在财务管理模式、会计核算、预算管理等方面做出调整,旨在顺应新经济时代发展形势。基于此,本文就新政府会计制度对事业单位经营管理的影响展开分析,探究新政府会计制度下事业单位面临的困境,具体提出新政府会计制度下事业单位提高经营管理水平的有效路径,旨在提升事业单位综合管理水平。 在当下的发展中,所推出的新政府会计制度与事业单位会计制度存在着较大的差异,
财政财务 |
财政监督检查视角下的事业单位财务管理定位
随着科学技术的快速发展,政府等事业单位正在向信息化与科技化的方式转变,单位内部相关工作人员也应与时俱进学习先进的管理方式、管理理念,从根本上改变传统的管理模式,但就当前的财务部门而言缺乏先进的管理理念,同时也缺乏一定的监督制衡机制,此外,事业单位的权威机构的专业化能力也有待提高,对此本文试图对事业单位财务工作的改进提出一些粗浅的建议。 目前我国的行政事业单位,对于财政资金的使用及分配,还有其资金
财政财务 |
管理会计中存在的问题及对策研究
本文不得不承认中国发展管理技术的过程中存在诸多缺陷,导致SH公司在内部管理活动中的管理会计质量不高,拖了企业后腿,对于促进SH公司在市场角逐中占据有利的地位存在一定的阻碍性。SH公司要想在波谲云诡的市场角逐中拔得头筹,就要积极主动的汲取欧美发达国家的知名企业在管理会计技术、理论内容方面的先进经验,优化SH公司内部管理会计水平,促进SH公司可持续发展。 一、前言 本文认为系统化、规范化、制度化、
财政财务 |
乡镇卫生院成本控制现状及对策
众所周知,医疗工作的发展水平与广大人民群众的身体健康是息息相关的,而在乡镇医疗事业发展过程中,乡镇卫生院就是主要的医疗事业发展阵地,其成本控制、管理工作水平对于乡镇医疗事业发展和乡镇人民群众的身体健康、疾病诊治都是十分重要的。但是目前来看,在乡镇卫生院的实际成本控制、管理工作中还存在着比较多的问题,包含管理人员的实践工作经验匮乏、技能水平不高等等问题,这对于乡镇在新时期的发展也会产生比较大的负面影
财政财务 |
浅析科学事业单位财务会计向管理会计转型
随着国家对科学事业的重视,投入到科研项目中的资金不断增加,在该背景下,财务管理对科学事业单位显得尤为重要。当前形势下,科学事业单位也进入了经营市场发展,科研单位的财务摄入项目繁杂。把科研单位财务会计向管理会计转型的变化,是科研单位面对市场竞争日趋完善的必然措施。下面本文就这一方面存在的潜在问题进行分析,并提出相应的意见及策略。 科研单位财务部门是确保科研单位实现精细化管控的重要机构,是以把控成本
财政财务 |
对政府会计制度下行政事业单位固定资产管理分析
新政府会计制度下,固定资产管理作出很多调整。在这样的条件下,需要加大行政事业单位对固定资产管理的研究力度。首先对新政府会计制度下行政事业单位固定资产管理所受影响进行分析,其次对行政事业单位的固定资产管理在会计制度影响下的创新难点详细剖析,最后总结行之有效的管理措施,目的在于提高固定资产管理质量。 固定资产的核算与管理,一直是会计管理核算中的重点内容。在新政府会计制度的实施下,行政事业单位的固定资
财政财务 |
基层医疗卫生机构实施内部控制加强财务管理的几点思考
经济的发展,社会的进步,使得基层医疗卫生机构服务水平已经难以满足人们的健康需求,因此要加大改革力度,提升服务的能力。那么下面我们就站在财务管理的角度进行分析:要转变传统的思想观念,改善内控制度以及财务管理方式,创建完善的组织机构,加强监督管理力度,以保证基层医疗事业能够得到良好的发展。 社会的发展,让人们认识到了健康的重要性,为提高人们对医疗服务的满意度,那么就要重视对于基层医疗卫生机构的建设。
财政财务 |
网络环境下高校财务会计的新特点
通过多年的努力,发展环境得到显著改善,推动高校向更高水平迈进。为此感到欣喜的同时,也绝不能忽视存在的问题。其中表现最为突出的是,现行财务管理方法过于老旧,无法适应网络环境的要求。问题一天不解决,高校一天就不能顺利发展。本文结合笔者的自身学习和工作经验,探讨如何创新高校财务管理工作,以应对新时代的挑战。 任何事情都有两面性,网络时代的到来,既为高校发展提供强有力支持,也添加不了挑战。面对这些挑战,
财政财务 |
浅谈我国会计职业道德现状及改进
一、会计职业道德的含义 是指在从事会计工作的人员在具体会计实务操作中必须遵守的一些行为准则和规范,但这些职业行为准则必须区别于会计以外的其他职业,表现出会计行业的独特性,在这些准则规范中必须对会计这个职业之间的各种关系进行调整,以此来促进会计职业的规范。 二、我国会计职业道德的现状 世界上最著名的会计师事务所之一的普华永道会计师事务所公布了一份“不透明指数”的调查报告,在这份调查报告中选取3
人力资源 |
柔性人力资源管理影响因素
企业的人力资源柔性管理有助于企业应对越来越灵活多变的市场环境,本文对柔性人力资源管理的特点、影响因素进行了研究,并提出了人力资源柔性管理的途径。 一、引言 柔性管理是进入互联网时代、知识经济时代的一种新兴管理方式,采用非强制性的方式,让员工产生一种潜在说服力,将组织意志转化为个人自觉行动的管理行为。本文研究人力资源管理过程中柔性管理的影响因素,从而更好地趋利避害,促进企业的健康发展。 二、人
人力资源 |
激励理论在企业管理中的运用探析
在经济发展迅速的现今社会,企业在市场竞争中面临着巨大的压力。企业如果想要更好地生存下去,需要灵活运用一些制度和理论发展自己的核心技术、引进并留住人才,而激励理论就能很好地帮助企业留住高端技术人才。由此可见企业能否正确的运用激励理论是企业能否实现全面发展的关键。本文解释了何为激励理论,并讲述了激励理论在企业管理中的应用方法。 国民经济的发展、市场制度的改革、“社会人”理念的普及、企业间不断的竞争让
人力资源 |
浅析新时期下建筑企业人力资源信息化建设的问题及对策
在当今时代,信息技术在社会发展中扮演着越来越重要的角色,凭借信息传递和信息处理上的优越性,能够有效简化各项社会分工的工作流程,提高工作效率,促使社会信息化程度不断加深。在这种信息化时代趋势下,建筑企业人力资源工作也应当顺应时代发展的潮流,积极推进信息化建设,更好地发挥出工作潜力,更好地为建筑企业运行做好人力支撑。但是由于建筑企业本身立足于现实世界,和互联网世界的交叉点较少,缺乏信息化建设经验,导致
人力资源 |
知识经济时代人才管理与企业家激励机制研究
现代的社会发展非常迅速,当前,中国经济已经进入新阶段,知识经济成为国民经济的新增长点,它是从有形资产向无形资产转型最重要的产物,,经济由原来的快速增长转向稳步增长,产业结构进一步升级。在这样的背景下,企业最核心的资产变成了知识工作者和如何让他们更好地协作创新,创造更多价值,这一转型也给企业的管理者提出了全新的课题。本文就我国企业的人才管理和激励机制的现状进行分析,并提出相应的建议。 一、企业人才
人力资源 |
提升企业薪酬激励公平性的思考
薪酬是企业给予工作人员日常工作能力的肯定,也是职业岗位参与者进行日常生活维持的重要资金来源。因此薪酬管理在企业运营过程中,具有十分重要的地位。但需要注意的是,薪酬管理不仅会对企业的未来发展产生影响,也很可能会影响到员工自身的经济利益,因此企业在进行薪酬管理时,务必要考虑到薪酬本身的激励性和公平性。本文将以此为研究角度,对提升企业的薪酬激励公平性展开思考。 想要提升企业薪酬激励公平性,首先要对薪酬
人力资源 |
浅论疗养院绩效管理
疗养院是对于相关疗员身心健康恢复的治疗康复场所,疗养院的绩效管理是对疗养院进一步发展的重要指标。当前疗养院的管理方式可能过于严格,不能使得人们心情愉悦,本文谈论了疗养院当前的管理方式与管理的不足之处,并提出了几条合理化的建议,希望对相关人员有参考作用。 本文从疗养院与绩效管理的定义入手来了解疗养院的主要作用,进一步从现在疗养院的管理方式来了解管理方式的特点于不足,从而提出了几点对于提高绩效管理的
人力资源 |
互联网下企业360度绩效考核的问题与对策
在互联网络蓬勃发展的背景下,360度绩效考核工作开展,能够更加深入的契合企业人力资源的管理目标,满足企业内部管理的工作需要。与此同时,互联网络能够更加直观的为绩效考核提供辅助。360度绩效考核在企业内部管理工作中应用更加全面且多样化,虽在一定程度上能够简化人力资源管理流程,但也存在一定的实质问题,不能保障考核结果的真实性和有效性。本文应用文献法为主导,结合诸多360绩效考核研究,全面探究互联网下企
人力资源 |
F市税务系统纪检队伍建设现状及改进对策研究
税务系统纪检工作政治性和专业性很强,依规依纪依法履行好纪检职责,是新时代纪检干部必须具备的基本素质。本文立足于全面从严治党的新形势,在全面了解和掌握F市税务系统纪检队伍建设现状的情况下,研究提出改进的具体措施,为推动基层税务系统纪检队伍建设高质量发展提供有益参考和借鉴。 在全面从严治党的新形势新要求下,聚焦监督执纪问责,持续深化转职能、转方式、转作风,推进全面从严治党向纵深发展的关键时期。纪检干
人力资源 |
大学生创业带动就业的经济效应及对策
近年来,大学生创业带动就业逐渐得到了社会多方面的关注,大学生创业是指大学生通过自主创办中小型企业、服务项目或是从事个体经营类活动等,实现大学生就业。高职院校为培养大学生的重要场所,而为了能够培养高质量的人才,需要注重帮助大学生解决就业问题,研究大学生创业带动就业的经济效应,加强大学生在创业方面的教育力度,发挥创业带动就业的良性效果,缓解大学生面临的就业紧张、困难等现状,具有明显的现实意义。本文研究
人力资源 |
企业人事管理中员工激励机制的构建策略
本文研究的主要目的是为了明确在社会经济飞速发展,市场经济日益激烈的前提下,人事管理中员工激励机制对企业管理的重要性,并通过对员工激励机制的内容,意义的分析,提出一些策略来帮助开展员工激励机制,以减小企业管理的难度。通过对部分企业的实地考察,数据收集和相关典籍的翻阅查找,来为本文的论述提供理论依据,通过文章的分析和研究得知,开展员工激励机制的策略主要包括:加大奖励力度,树立榜样标杆,完善企业文化和工
人力资源 |
乡镇卫生院薪酬制度存在的问题及思考
对于现阶段国内发展中的企业或者是事业单位来说,其薪酬管理工作是日常管理工作中非常重要的一个组成部分,对于乡镇卫生院来说也是一样的,良好的薪酬管理工作不仅能够提升相关工作人员进行工作的积极性,还会使得乡镇卫生院的工作效率和工作水平得到相应的提升。而在现阶段国内部分乡镇卫生院发展过程中并未给予薪酬管理工作相应的重视程度,导致这项工作中还存在着比较明显的问题,包含薪酬制度不够科学合理和打击工作人员积极性
人力资源 |
公路行业职工队伍现状分析及对策
公路事业的持续健康发展离不开一支高素质的职工队伍。加强我国公路行业职工队伍建设,建立一支政治坚定、技术先进、业务精湛、素质过硬的综合型高素质专业化职工队伍,这是保证当前时代下公路事业科学有效发展的根本保证。本文就当前公路行业职工队伍的现状进行分析并就存在的问题提出思考和对策。 当前,公路行业竞争越来越激烈,职工队伍的素质会严重影响到行业的生存和发展。因此必须针对职工队伍现状予以分析,并结合当今社
社会经纬 |
我国城镇居民家庭金融资产调查研究
近几年来,伴随着我国经济的迅速发展,城镇居民家庭财富不断增加。如何优化家庭金融资产配置逐渐成为我国每个家庭日益关注的话题。本文分析了我国家庭金融资产配置状况并与世界其他国家进行对比,以石家庄市为例,通过问卷调查的方式分析目前我国城镇居民的投资现状和存在的问题最后,本文从个人参加金融培训,提升金融素养、政府维护金融市场秩序,提高居民收入和金融机构进行产品创新,加大宣传力度这三个方面提出建议。 一、
社会经纬 |
简述美食旅游经济的发展与创新路径
美食属于地方特色品牌,传承和发展地方美食能够促进当地旅游业发展,开展美食旅游。基于此,本文主要以美食旅游概述为切入点,分析美食旅游地需具备高知名度美食、餐饮产业体系、深厚饮食文化、契合地标美食,方能作为发展美食旅游经济的地区,以此为研究基础,提出美食旅游经济发展创新策略,以期为相关工作者提供有益借鉴。 我国民俗文化中饮食文化作为其中重要部分,也是民众长时间适应环境的表征体现,不同地区受到居住环境
社会经纬 |
大学生异化消费现象论析
随着我国经济、社会的蓬勃发展,过度消费、超前消费、盲从消费和虚假消费等异化消费现象在青年大学生群体中呈现出蔓延态势,深入分析大学生的异化消费现象的表现和成因并提出相应的克服途径不仅是正确培育大学生的需要,也将对我国的现代化建设和社会主义事业发展起到非常重要的作用。 消费异化是西方马克思主义理论家提出的一个重要概念,在分析、推动人类社会的发展中起到了非常重要的作用,主要是指消费者在消费过程中将商品
社会经纬 |
对酒店个性化纪念品满意度问题研究
伴随社会生产力发展以及科学技术水平的不断提升,消费需求越来越个性化和多样化,酒店定制化产品也逐渐走进人们的视野。本文以沈阳师范大学为研究对象,从在校大学生的购买意愿和影响因素入手,对在校大学生购买酒店定制化产品现状进行调查分析,发现存在产品定价虚高不实用,设计和外观缺乏美学及潮流思维,产品缺乏独特性和纪念性,消费者购买动力不足,当前酒店对定制产品进行的宣传力度小,更多消费者持不了解、不信任、不消费
社会经纬 |
关于地域特色在旅游产品包装设计中的应用探讨
我国疆域辽阔,有许多的旅游景点。随着经济的不断发展,人生活水平提高,旅游产业也有着较快的发展。旅游产业的蓬勃发展推着旅游产品发展,随之而来的则是与旅游产品相关的包装设计不断发展。要想提高旅游产品的在市场上的竞争力,就必须在旅游产品的包装设计中融入地域特色。地域特色的融入不仅能够提升旅游产品的销量,还能宣传当地的文化和地方特色,对推动旅游业的发展有着至关重要的作用。基于此,本文首先简要介绍了旅游产品
社会经纬 |
乡村振兴视野下村主任执行力提升研究
文章以乡村振兴为视角,分析村主任执行力在其实施过程中的影响。从内外部因素分析村主任执行力的影响因素。形成对策思考,一是统一村主任责权利三者的关系;二是完善村主任的绩效考核制度;三是塑造村主任的行动导向,转变村主任传统管理观念;四是有效融合三治,完善基层治理体系。 村一级是乡村振兴战略实施的“最后一公里”,相应的制度安排都将在村一级体现成效。当前村一级自治的状态关系到乡村振兴相关措施的落实,自治状
社会经纬 |
《民法典》施行背景下的保险人提示说明义务
《民法典》修改了《合同法》有关格式条款订入规则的规定。作为《保险法》的一般法,《民法典》的这一变动势必深刻影响《保险法》所规范的保险人对于格式条款的提示说明义务。在提示说明的范围方面,《民法典》填充了《保险法》的空白,规定如果保险人未提示说明免责以外的与投保人有重大利害关系的条款,投保人有权依据《民法典》获得救济。在违背提示说明义务的法律后果方面,为不致与《民法典》冲突,《保险法》中的“不产生效力
社会经纬 |
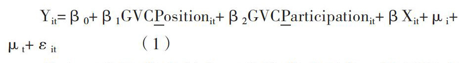
嵌入全球价值链对中国技能劳动收入差距的影响
如今,全球价值链已经成为经济全球化最突出的特征。不同国家不同行业嵌入全球价值链的情况各不相同,成为了影响技能劳动收入差距的重要因素。所以本文利用WIOD数据库中中国33个行业1995-2009年的相关数据,构建固定效应模型,实证研究不同行业在全球价值链中的参与度以及位置指数对于中国高、中、低技能劳动力之间的收入差距的影响。研究结果显示,中国越积极参与全球价值链,提升在全球价值链中的位置,越能显著降
社会经纬 |
乡村治理现代化进程中的文化困境与对策研究
有效解决农业、农村以及农民的问题,才可以达成建设繁荣社会的目标,在解决民生问题的过程中,搭建起科学合理的农村文化尤为重要,不仅仅关系到新农村建设,更是丰富农村生活方式、提升农村生活质量的关键。本文就当下农村文化建设中存在的文化困境展开研究,总结相关处理对策,以促进农村经济发展,期望对相关从业人员有所帮助。 实现全面小康目标的过程中,农业、农村、农民问题的解决至关重要,只有正确解决“三农”问题,将
社会经纬 |
高尔夫体育经济的发展与趋势
笔者不得不承认,现在在中国发展高尔夫运动项目任重而道远。不少中国社会群众觉得高尔夫是一项相对比较高水平的运动,一般只是有钱人的娱乐项目,这种认知是对高尔夫运动项目存在误区的。这也使得欧美发达国家的高尔夫运动体育项目确实优于中国,中国相关组织机构举办高尔夫运动项目的影响力、知名度都相对有限,阻碍因素比较复杂。有鉴于此,我们必然要系统深入的研究分析高尔夫运动项目的发展趋势,从而提出更多的优化对策,为促
社会经纬 |
浅谈企业社会工作在企业园区的作用
当我国经济建设不断提速,社会工作的价值引起了人们的关注,最初这只是企业的一项内部事务,后来逐渐有了专业化水平较高的第三方社工机构,当前已经专门针对辖区内企业发展情况设立了工作站。历经了这样的发展,服务水平、服务人群、服务内容等都有了积极改变。本文把S园区社区工作站当成研究对象,深入分析其提供的社会服务,在对其做出简单评价的同时,为其日后发展提出建议。 一、含义 企业社会工作,就是在社会工作理论
社会经纬 |
社会工作在西藏经济建设中的作用机制研究
伴随着时代的发展、政府的支持和民间力量的兴起,社会工作机构与日俱增,社工队伍逐渐壮大,我国社会工作事业正如火如荼的发展着。各种成功的案例与项目在我国中东部地区不断涌现,而在像西藏一样经济落后的偏远少数民族地区,社会工作却少有开展,更谈不上影响力。并且,西藏依旧面临着经济发展不协调,两极分化严重等问题,基于此现状,本文从社会工作的优势视角与独特性的角度出发,研讨在西藏大量引进和培养专业的社会工作者以